所屬科目:學士後西醫-化學
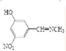
3. Which of the following phenols is the most acidic? (A) (B) (C) (D) (E)
5. What product will the following reaction give? (A) 3-methyl-3-pentanol (B) 3-ethyl-3-pentanol (C) 3-pentanone (D) ethyl propanoate (E) propanoic acid
9. What is the major product of the following reaction? (A) (B) (C) (D) (E) no reaction occurs
11. To which side (if any) would the following equilibrium lie? (A) to the left (B) to the right (C) equally to the right and left (D) there is no way to tell (E) only SN2, SN1 and E2 reactions are possible
12. Which of the haloalkanes below would you expect to most rapidly undergo the reaction shown? (A) CH3CH2Br (B) (C) (CH3)3CBr (D) (CH3)2CHBr (E) (CH3) 3CCH2Br
15. Which of the following structures, would be classified as anti-aromatic? (A) (B) (C) (D) (E) all of the above
16. Which alkene has the lowest heat of hydrogenation ΔH°hydrog? (A) (B) (C) (D) (E)
18. Rank the following aromatics in order of decreasing reactivity toward electrophilic aromatic substitution (most reactive > least reactive). (A)A > C > D > B (B) D > C > A > B (C) B > C > A > D (D) D > A > C > B (E) C > A > D > B
19. Which of the following resonance structures is the most stable? (A) (B) (C) (D) (E)
20. Rank the following in order of decreasing acidity (more acidic > less acidic): (A) II > III > I > IV > V (B) IV > II > I > III > V (C) II > IV > I > III > V (D) V > III > I > II > IV (E) II > IV > I > V > III
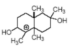
21. How would you rank the following in decreasing order of reactivity toward nucleophilic aromatic substitution? (most reactive on left) (A) 4 > 1 > 3 > 2 (B) 2 > 3 > 1 > 4 (C) 3 > 2 > 4 > 1 (D) 1 > 3 > 2 > 4 (E) impossible to predict
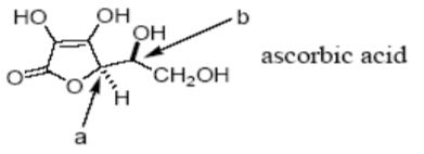
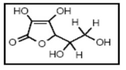
23. The following structure is Vitamin C. How many stereoisomers (including optical isomers) of Vitamin C are possible? (A) 2 (B) 3 (C) 4 (D) 6 (E) 8
24. Assign R or S configurations to the indicated centers in ascorbic acid. (A) a = (R), b = (R) (B) a = (R), b = (S) (C) a = (S), b = (R) (D) a = (S), b = (S) (E) none of them
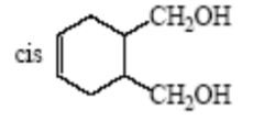
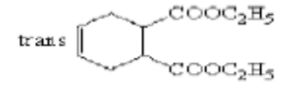
25. Which of the following pair of compounds theoretically possible to be separated by distillation? (A) (B) (C) (D) (E) none of the above
26. Which of the following molecules have the S configuration? (A) I, II (B) I, III (C) III, IV (D) I, II, IV (E) all of the above
27. How are the following compounds related? (A) diastereomers (B) enantiomers (C) meso compounds (D) optical isomers (E) none of the above
28. What is the proper IUPAC name for the following molecule: (A) (2E,4Z)-2,4-heptadiene (B) (2E,3Z)-2,3-heptadiene (C) (2Z,4E)-2,4-heptadiene (D) (2E,4Z)-2,4-hexadiene (E) (2Z,3E)-2,3-hexadiene
30. Reaction of the following tosylate in its (S)-form with cyanide ion yields a nitrile product. What is the stereochemistry of the nitrile product? (A) (S)-form (B) (R)-form (C) racemic form (D) meso form (E) none of them
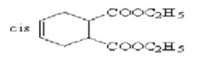
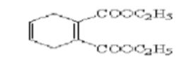
31. How many total stereoisomer(s) of the following compound is(are) possible? (A) 1 (B) 2 (C) 3 (D) 4 (E) 6
32. Which methylene group of the following compound whose chemical shift in NMR spectrum is the largest one, i.e. the most downfield one? (A) 1 (B) 2 (C) 3 (D) 4 (E) 5
34. Which of the following structures is consistent with the IR spectra shown below? (A) (B) (C) (D) (E)
35. Which of the following structures is consistent with the 1 H NMR spectra shown below? (A) CH3CH2CH2CH3 (B) CH3CH2OH (C) (CH3)2CHOH (D) CH3CO2CH2CH3 (E) CH3CH2CH2CO2H
37. How many 1 H NMR signal(s) is(are) present for the product of the following reaction? (A) 1 (B) 2 (C) 3 (D) 4 (E) 5
39. The name of the following compound is (A) imidazole (B) pyrrole (C) indole (D) pyrimidine (E) pyridine
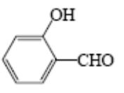
40. The name of the following compound is (A) anthranilic acid (B) salicylic acid (C) phthalic acid (D) triflic acid (E) adipic acid
41. The best description of the following compound is (A) an amide (B) an acetal (C) an ester (D) an ether (E) a hemiacetal
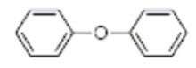
42. What is the correct structure for anisole? (A) (B) (C) (D) (E)
44. When the following acid is heated to 230℃, carbon dioxide is evolved and a new compound is formed. What is the new compound? (A) malonic acid (B) adipic acid (C) succinic acid (D) glutaric acid (E) oxalic acid
47. What is the product of the following reaction? (A) (B) (C) (D) (E)
48. Upon heating with aqueous acid, pinacol (2,3-dimethylbutane-2,3-diol) rearranges. What is the product? (A) (B) (C) (D) (E)
49. Major product of the following reaction is: (A) (B) (C) (D) (E)
50. What product would you expect from the following reaction? (A) (B) (C) (D) (E)
51. What product would you expect from the following reaction: (A) (B) (C) (D) (E) no reaction
52. Vinylcyclopropane reacts with HBr to yield a rearranged alkyl bromide. What is the structure of the final product? (A) (B) (C) (D) (E) none of them
53. What product would you expect from the following reaction? (A) (B) (C) (D) (E) no reaction
54. What product would you expect from the following reaction? (A) (B) (C) (D) (E)
55. Provide the reagents to complete the following transformation. (A) LiAlH4, Et2O (B) Mg/THF (C) H2NNH2, KOH (D) CH3PPh3Br, LDA (E) None of the above
56. What reactants would be required to prepare the oxime shown below? (A) (B) (C) (D) (E) None of these reactants
57. What is the major product for the following reaction? (A) (B) (C) (D) (E)
58. What is the major product for the following reaction?(A) (B) (C) (D) (E)
59. What is the major product for the following reaction? (A) 2,3-dimethyl-2-butene (B) 2,3-dimethyl-1-butene (C) 3,3-dimethyl-1-butene (D) 3,3-dimethyl-1-butanol | (E) None of the above
60. What is the major product for the following reaction? (A) (B) (C) (D) (E)
61. What would be the structure of the final product of the following synthesis? (A) (B) (C) ((D) (E)
62. The final product of the following synthesis is (A) (B) (C) (D) (E)
63. What is the product of the following reaction sequence? (A) (B) (C) (D) (E)
64. Which of the following statements about the reaction shown below is correct? (A) the product name is cinnamic acid (B) the reaction is called Knoevenagel reaction (C) one of the starting compound is diethyl malonate (D) the second step includes an intramolecular decarboxylation (E) all are correct statements
65. Treatment of the following epoxide with aqueous acid produces a carbocation intermediate that reacts with water to give a diol product. What is the structure of the carbocation? (A) (B) (C) (D) (E) none of them
68. What would be the major product for the following reaction? (A)(B) (C) (D) (E)
69. What is the product structure of the following reaction? (A) (B) (C) (D) (E) none of them
70. Predict the major product of the following reaction: (A) (B) (C) (D) (E) no reaction
71. What would be the major product from the following reaction? (A) (B) (C) (D) (E)
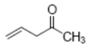
72. What reactants would be used to produce cinnamaldehyde? (A) (B) (C) (D) (E)
73. What would be the major product from the following reaction? (A) (B) (C) (D) (E)
74. What is the product 1 of the following reactions? (A) (B) (C) (D) (E)
75. What is the product 2 in the question 74? (A) (B) (C) (D) (E)
76. Which α-amino acid is not optical active? (A) R=H (B) R=CH3 (C) R=CH(CH3)2 (D) (E)
77. A molecular cation is produced by McLafferty rearrangement in the mass spectrum of the following compound. How large is its m/z? (A) 44 (B) 56 (C) 57 (D) 58 (E) 60
78. What is the product 1 in the following reactions? (A) (B) (C) (D) (E)
79. What is the product 2 in the question 78? (A) (B) (C) (D) (E)
80. What is the product of the following reaction? (A) (B) (C) (D) (E) CH3N(C2H5)2