阿摩線上測驗
登入
首頁
>
微積分
> 97年 - 097年身心障礙人員4等_氣象#38400
97年 - 097年身心障礙人員4等_氣象#38400
科目:
微積分 |
年份:
97年 |
選擇題數:
0 |
申論題數:
8
試卷資訊
所屬科目:
微積分
選擇題 (0)
申論題 (8)
【已刪除】⑴
(10 分)
【已刪除】⑵
(10 分)
【已刪除】⑶
(10 分)
【已刪除】二、求下列微分:
。(10 分)
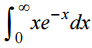
【已刪除】三、求下列積分值:
。(10 分)
四、求 y = 2-x
2
與 y = x 所圍成之區域面積。(20 分)
【已刪除】五、求下列級數值:
。(20 分)
六、在限制條件 6x + 4y + 3z = 24 下,求 V = xyz 之最大值。(10 分)