阿摩線上測驗
登入
首頁
>
自動控制學
> 97年 - 097年高等一級暨二級2級自動控制學#48860
97年 - 097年高等一級暨二級2級自動控制學#48860
科目:
自動控制學 |
年份:
97年 |
選擇題數:
0 |
申論題數:
7
試卷資訊
所屬科目:
自動控制學
選擇題 (0)
申論題 (7)
⑴建立羅斯表(Routh Table)。(15 分)
⑵找出特性根在 s 平面上的分布情形。(10 分)
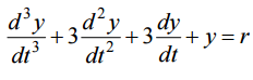
二、考慮如下之微分方程式,y 為輸出,r 為輸入。若令 y = x
1
,
= x
2
,
= x3 ,求狀態 方程式。(25 分)
⑴說明這個系統的穩定性如何。(10 分)
⑵令輸入為 u = −[k
1
k
2
k
3
] x ,則k
1
,k
2
,和k
3
各該為若干,才可使閉迴路系統的特 徵根為 − 1, − 1,和 − 1。(15 分)
⑴寫出順向路徑在 z 領域的轉移函數。(15 分)
⑵找出讓此系統穩定的 T 範圍。(10 分)