所屬科目:台電◆測量、土木、建築工程概要
1. 平面測量範圍限制於 200 平方公里以下,使其距離與高程測量時,毋需考慮地球曲度以及可能產生之誤差。
2. 已知 ABC 三角形其座標為 A(0,0)、B(20,25)、C(25,-20),試問該三角形所圍面積大小為_____
3. 有一角度共施測五次,其各次施測成果如下,試求此角度之最或是值為 , _____°43′15″.8 , 89°46′18″.6 , 89°43′18″.2 , 89°43′20″.789°43′18″.0
4. 試求下圖一所示 OA 測線之方向角為_____
5 經緯儀架設在定平過程中,當氣泡調至居中,隨後平轉水平盤面 180°,發現氣泡不復居中, 則可知有儀器誤差,其產生的原因為_____
6. 若 A、B 兩點座標分別為 Xa = 800 公尺,Ya = 600 公尺;Xb = 1100 公尺,Yb = 300 公尺 ,則其方位角 αab= _____
7. 一閉合導線全長為 1250.00 公尺,作平差計算時,發現其結果有橫距代數和為 0.30 公尺,縱 距代數和為-0.40 公尺,試問此一導線之精度為_____。
8. 一般混凝土之 7 天抗壓強度約為 28 天抗壓強度之_____倍。
9. 一般預拌混凝土輸送時間不得超過_____小時。
10. 依據混凝土設計規範,鋼筋混凝土樑主筋最小鋼筋比不得低於_____及 。
11. 依據混凝土設計規範,一般而言,鋼筋稱號大於_____ (例如:D10)時不得搭接。
12. 依據混凝土設計規範之耐震設計特別規定,柱之縱向鋼筋比 P』不得低於 0.01 亦不得大於_____
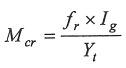
13. 常重鋼筋混凝土樑,其斷面開裂彎矩為 ,試問式中= _____
14. 依據混凝土設計規範,水平鋼筋下方混凝土進行澆置時,若其一次澆置厚度大於_____公分時,其鋼筋之基本伸展長度1db應再乘放大係數1.3。
15. 依據建築技術規則定義,建築面積為建築物_____中心線或其代替柱中心線以內之最大水平投影面積。
16. 依據建築技術規則規定,建築物施工場所應設置適當之施工安全措施,包括防護圍籬、 _____、施工架。
17. 連續壁或反循環基樁於鑽掘完成後,均以_____非破壞檢測方式檢測壁體有無崩坍情況及垂直度。
18. 最大粗骨材之尺寸除不得大於樓版厚度的1/3及模板最小淨間距的1/5外,另不得大於鋼筋與 鋼筋或鋼筋與模板最小間距的_____。
19. 研判山坡地層是否滑動、位移時,其最常使用的監測儀器是_____儀。
20. 試求 L200 x 200 x 20 角鋼斷面之形心距(cx、cy)=_____。(單位:公分)
(1) 請繪出磚牆之順砌法立面圖形。
(2) 請繪出磚牆之英國式砌法立面圖形。
(3) 請寫出普通在建築工程上使用之紅磚標準尺寸, 單位:mm。
(4) 請寫出建築工程上使用普通磚之各等級、抗壓強度 (kg/cm²)、吸水率(%)
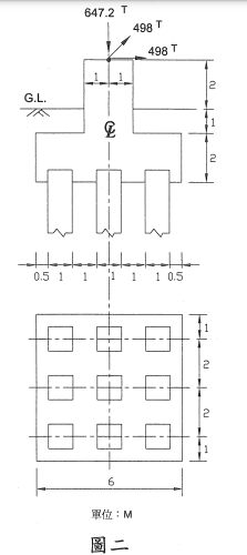
2. 鋼筋混凝土基礎方形墩柱經方形基版僅由9支方形群樁支持傳遞到土壤中,基版下土壤反作用力不計,基礎尺寸及基礎負載如圖二,如果鋼筋混凝土單位重為2.4 T/M³,土壤單位重為1.6 T/M³,請求出單樁頂最大壓縮力(T)及引揚力(T),(計算時不考慮載重係數及安全係數,計算時 1/12之值以0.1計)。
3. 內政部土地測量局建制完成國家 eGPS系統,並已開放公民營測量機構申請使用,請就使用 eGPS系統測量的原理、組成要素、操作方式、成果與精度等逐一說明。
4. 颱風帶來洪水使河川水位暴漲,為了確保橋樑的安全及監測的需要,在設計時就必須依照河川水文資料及治理計畫作完整的考量及分析,才能使橋樑在使用年限內承受設計載重狀態下保持穩定,並提供橋樑管理所需的資料,請依照資料蒐集、整理設計所需資料、橋墩尺寸初擬、橋墩穩定分析計算、橋墩安全標準等步驟 ,依序敘述橋樑設計的過程中和河川管理有關的部分。