7. (15%) In studying the accidents occurred on an expressway, a consultant recorded the number of accidents occurred each day in a random sample of 400 days. The sample results follow:
The consultant wishes to determine whether the probability distribution of the number of accidents occurred in one day is Poisson. [i.e., P(x) =
]. Use the chi-square procedure to conduct the test, controlling the α risk at 0.10. Pool classes as required. State the alternatives,the decision rule, the value of the test statistic, and the conclusion.
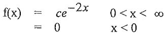
[i.e., Exponential distribution: f(x) = λexp(-x); F(x) = P(X ≤ x) = 1-exp(-λx) ]