所屬科目:研究所、轉學考(插大)-微積分
(a) (15 分)
(b) (15 分)
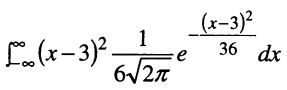
2. Evaluate the limit of the following expression. (15 分)
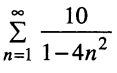
3. Find the sum of the following series. (15 分)