阿摩線上測驗
登入
首頁
>
坡地穩定與崩塌地治理工程
> 97年 - 97 地方政府特種考試_三等_水土保持工程:坡地穩定與崩塌地治理工程#48735
97年 - 97 地方政府特種考試_三等_水土保持工程:坡地穩定與崩塌地治理工程#48735
科目:
坡地穩定與崩塌地治理工程 |
年份:
97年 |
選擇題數:
0 |
申論題數:
5
試卷資訊
所屬科目:
坡地穩定與崩塌地治理工程
選擇題 (0)
申論題 (5)
一、如圖一所示之兩條預定道路必須 A道路寬度 通過一崩塌地,此一崩塌地之滑 動面已知。從已知滑動面穩定性 a 邊坡表面 b (或安全係數)之觀點(不是土 道路寬度 方挖填平衡之觀點),決定 A 道 路位於那個高程較適當(a,b 或 d c?),其理由為何?(10 分)d;e 道路位於那個高程較適當(d,e 或 f?),其理由為何?(10 分)
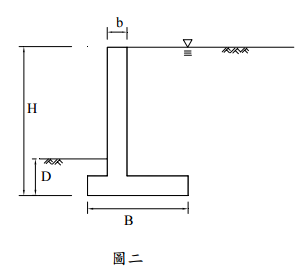
二、如圖二之擋土牆,若於設計階段發現其 b 傾覆或滑移之安全係數太小,不符合規 範要求時,可以如何改善(請列舉改善 方法,並說明其原理)。(20 分)
三、如圖三所示一集水區面積A = 1 km
2
,已知 合理化公式適用於估計本區域之地表逕流量; 集 1 水 Q( m 3 /sec) =
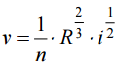
⋅ C ⋅ I⋅ A; C = 0.3; 區 3.6 面 I = 50 mm/hr。於 E 處採用一混凝土矩形排水溝 積 A (內寬 B = 1m,內高 H = 0.5m,坡度為 5%), E 試檢核此一排水斷面是否適當。(20 分)
(提示:曼寧公式:
,混凝土溝之 n = 0.02)
四、如圖四所示之地下排水盲溝(H = 1.0m,B = 0.6m,坡度i = 20%),已知盲溝中填 滿碎石粒料時之滲透係數k = 2 × 10
-2
m/sec,求盲溝排水之最大流量Q。(10 分)
五、如圖五所示之懸臂式擋土牆背後及腳趾處填土之溼潤單位重γ = 20 kN/m
3
,凝聚力c = 0, 內摩擦角φ = 30°,擋土牆趾處之埋入深度為 0.5m。已知朗金式(Rankine′s)側向土壓 係數
。假設主動、被動土壓力之作用方向為水平。對於 1m長(或 1 進行米)之擋土牆各計算其傾覆(Overturning)及滑 移(Sliding)之安全係數。(30 分)
相關試卷
114年 - 114 地方政府公務特種考試_三等_水土保持工程:坡地穩定與崩塌地治理工程#134550
114年 · #134550
114年 - 114 高等考試_三級_水土保持工程:坡地穩定與崩塌地治理工程#128520
114年 · #128520
113年 - 113 地方政府公務特種考試_三等_水土保持工程:坡地穩定與崩塌地治理工程#124527
113年 · #124527
113年 - 113 高等考試_三級_水土保持工程:坡地穩定與崩塌地治理工程#121282
113年 · #121282
112年 - 112 地方政府特種考試_三等_水土保持工程:坡地穩定與崩塌地治理工程#118175
112年 · #118175
112年 - 112 高等考試_三級_水土保持工程:坡地穩定與崩塌地治理工程#115531
112年 · #115531
111年 - 111 地方政府特種考試_三等_水土保持工程:坡地穩定與崩塌地治理工程#112410
111年 · #112410
111年 - 111 高等考試_三級_水土保持工程:坡地穩定與崩塌地治理工程#109520
111年 · #109520
110年 - 110 地方政府特種考試_三等_水土保持工程:坡地穩定與崩塌地治理工程#104651
110年 · #104651
110年 - 110 高等考試_三級_水土保持工程:坡地穩定與崩塌地治理工程#102521
110年 · #102521