阿摩線上測驗
登入
首頁
>
工程數學(應用數學, 線性代數、微分方程、複變函數與機率)
> 97年 - 97 專技高考_電機工程技師:工程數學(包括線性代數、微分方程、複變函數與機率)#36685
97年 - 97 專技高考_電機工程技師:工程數學(包括線性代數、微分方程、複變函數與機率)#36685
科目:
工程數學(應用數學, 線性代數、微分方程、複變函數與機率) |
年份:
97年 |
選擇題數:
0 |
申論題數:
6
試卷資訊
所屬科目:
工程數學(應用數學, 線性代數、微分方程、複變函數與機率)
選擇題 (0)
申論題 (6)
【已刪除】一、假設隨機變數(random variable)X 的機率密度函數 p 是:
,當 0 ≤ x ≤2,而且 p(x) = 0於x > 2或x < 0。試求 C,以及 X 的期望值(expectation), 標準差(standard deviation)。假設(X
n
: n=1, 2,
...
,10
6
) 是一列獨立的隨機變數,都具 有機率密度函數如上述的 p。令
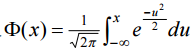
,試估計U >1002000的機率。(20 分) 提示:中央極限定理,你可以利用標準常態分布函數
來表達。
【已刪除】二、計算向量場 w = yi + zj+xk 的旋度(rotation) rot w 與散度(divergence) divw 。 ( i, j,k 當 然 是 三 軸 上 的 單 位 向 量 , 旋 度 也 有 人 用 記 號 curl 。 ) 對 於 曲面S :z= 2(1-x
2
-y
2
) , x
2
+ y
2
<1 (法向向上),計算通量(flux)
。 (20 分)
【已刪除】三、設Γ表示:複數之平面上的上半圓 x
2
+y
2
= R
2
, y >(0) 與線段- R ≤ x ≤ R所組成的 封閉曲線(R >10)。計算沿著此曲線(的正向)之複積分
。(10 分)
四、設有週期2π 的函數 f (x) = f (x + 2π ),而且,當 │x│< π 時, f (x) = cos(π* x)。請將 f 展開為富利葉(Fourier)級數。(10 分)
【已刪除】五、解如下方程式中的函數 x(t), y(t),其中
是微導(differentiation),
初期條件:x(0)= 0 = y(0)。(20 分) 提示:先不管初期條件,求出一個特別解是常數 x = c1 , y = c2 。另外,捨棄方程式右 側不齊次項,可求出基底的補助解: x =ue
λt
,y =ve
λt
;於是線性組合而得通 解,再由初期條件確定其係數。
【已刪除】六、求如下方陣的固有值(eigen-value),及對應的固有向量(eigen-vector)。(20 分)
提示:顯然有一個固有值 4。
相關試卷
114年 - 114 專技高考_電機工程技師:工程數學(包括線性代數、微分方程、複變函數與機率)#133679
114年 · #133679
114年 - 114 專技高考_電子工程技師:工程數學(包括線性代數、微分方程、向量分析、複變函數與機率)#133677
114年 · #133677
114年 - 114 調查特種考試_三等_電子科學組:工程數學#129578
114年 · #129578
114年 - 114 國家安全情報特種考試_三等_電子組(選試英文):工程數學#127780
114年 · #127780
113年 - 113 專技高考_電子工程技師:工程數學(包括線性代數、微分方程、向量分析、複變函數與機率)#123976
113年 · #123976
113年 - 113 專技高考_電機工程技師:工程數學(包括線性代數、微分方程、複變函數與機率)#123971
113年 · #123971
113年 - 113 調查特種考試_三等_電子科學組:工程數學#122110
113年 · #122110
113年 - 113 身心障礙特種考試_三等_電力工程:工程數學#119517
113年 · #119517
112年 - 112 地方政府特種考試_三等_電力工程、電子工程:工程數學#118376
112年 · #118376
112年 - 112 專技高考_電機工程技師:工程數學(包括線性代數、微分方程、複變函數與機率)#117639
112年 · #117639