阿摩線上測驗
登入
首頁
>
微積分
> 98年 - 098年地方4等_天文#28780
98年 - 098年地方4等_天文#28780
科目:
微積分 |
年份:
98年 |
選擇題數:
0 |
申論題數:
8
試卷資訊
所屬科目:
微積分
選擇題 (0)
申論題 (8)
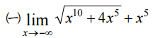
【已刪除】
(10 分)
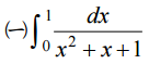
【已刪除】
(10 分)
【已刪除】
(10 分)
【已刪除】
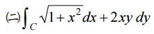
,其中C 為以(0,0)為出發點,沿著y=x
2
到達(1,1)後,再沿著一條直線返回(0,0)的封閉曲線。(10 分)
三、請問 f (x) = 2x
3
− 3x
2
+ 2恰有多少個實根?請證明。(10 分)
【已刪除】四、請證明
。(提示:
)(15 分)
五、已知 S 表示一個為y=-x
2
+2x及y=2x
2
-x
3
完全包圍的區域,請計算 S 的面積。 (15 分)
【已刪除】六、請求出函數
在區域 中
之絕對極大值及絕對極小值。(20 分)