阿摩線上測驗
登入
首頁
>
大地工程學
> 98年 - 098年專門職業及技術人員高等建築師、技師、消防設備師、普通不動產經紀人、記帳士、第二次消防設備士暨語言治療師應用地質技師#34573
98年 - 098年專門職業及技術人員高等建築師、技師、消防設備師、普通不動產經紀人、記帳士、第二次消防設備士暨語言治療師應用地質技師#34573
科目:
大地工程學 |
年份:
98年 |
選擇題數:
0 |
申論題數:
17
試卷資訊
所屬科目:
大地工程學
選擇題 (0)
申論題 (17)
⑴過壓密比(Overconsolidation Ratio)
⑵臨界水力梯度(Critical Hydraulic Gradient)
⑶超額孔隙水壓(Excess Porewater Pressure)
⑷侷限模數(Constrained Modulus)
⑸端鈑效應(Ends Effect)
⑴請寫出 GP、SW、ML 和 CH 四類土壤中文名稱或英文全名。(8 分)
⑵請說明統一土壤分類系統依據那些物性試驗進行土壤分類?(6 分)
⑶臺北盆地松山層中最常見前述十二種土壤中的那兩種土壤?(4 分)
⑷若有一土壤含有大量蒙脫土,且具有高壓縮性、低強度、高膨脹性及高液性限度 (>50%),最有可能被分類為前述十二種土壤中的那一類?(2 分)
⑴請列舉兩種可透過經驗式獲得砂土抗剪摩擦角的現地貫入試驗方法。(6 分)
⑵請簡單敘述各該兩種現地貫入試驗將分別獲得那些物理量藉以透過經驗式推估抗 剪摩擦角。(4 分)
⑴請說明在此一模式中包含了那些影響φ
peak
之因子。(8 分)
⑵某壩址存在一組走向平行壩軸、傾向下游 45° 之 J 節理,壩基下方 A 深度處最大 水平總應力方向垂直壩軸為 2MPa,垂直總應力 1.5MPa,未蓄水前 A 深度處孔隙 水壓為 1MPa,若根據 JRC-JCS 模式評估得到關心應力範圍內有效尖峰抗剪摩擦 角φ=45°,且忽略平行壩軸主應力之影響,請問因水庫蓄水造成壩址下方 A 深度 處上升多少孔隙水壓時,將沿 J 節理發生剪力破壞?(12 分)
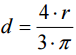
【已刪除】五、當採用極限平衡法計算二維有限邊坡安全係數時,常假設破壞面為一圓弧。若有一 坡高為H之垂直邊坡,已知滑動圓弧圓心位於坡頂,且滑動圓弧半徑恰為坡高(滑 動圓弧將通過坡趾),若採總應力分析法 φ=0° Approach,其安全係數將為坡高H、 土壤總單位重γ
t
與不排水剪力強度Cu之函數,請推導安全係數與H、γ
t
與Cu間之關係 式。(提示:半徑為r之 1/4 圓,其質心與圓心距
)(15 分)
⑴某隧道工程擬以 RMR 法評估岩盤工程特性,其中需要 RQD 值。請計算以下取自 該隧道工程附近鑽孔中某段 1 m 長岩心之 RQD 值。(5 分)
⑵若欲利用此段岩心以及其附近露頭計算 RMR 岩體評分值,還需要那些岩體特性? (7 分)
⑶除了 RQD 以外,RMR 評分所需之岩體特性於工程實務上通常如何獲得?(8 分)
相關試卷
114年 - 114 專技高考_土木工程技師:大地工程學(包括土壤力學、基礎工程與工程地質)#133697
114年 · #133697
114年 - 114 專技高考_應用地質技師:大地工程學(包括土壤力學與岩石力學)#133666
114年 · #133666
114年 - 114 專技高考_水利工程技師:大地工程學(包括土壤力學、基礎工程與工程地質)#133611
114年 · #133611
113年 - 113 專技高考_土木工程技師:大地工程學(包括土壤力學、基礎工程與工程地質)#123955
113年 · #123955
113年 - 113 專技高考_應用地質技師:大地工程學(包括土壤力學與岩石力學)#123941
113年 · #123941
113年 - 113 專技高考_水利工程技師:大地工程學(包括土壤力學、基礎工程與工程地質)#123918
113年 · #123918
112年 - 112 專技高考_應用地質技師:大地工程學(包括土壤力學與岩石力學)#117679
112年 · #117679
112年 - 112 專技高考_水利工程技師:大地工程學(包括土壤力學、基礎工程與工程地質)#117676
112年 · #117676
112年 - 112 專技高考_土木工程技師:大地工程學(包括土壤力學、基礎工程與工程地質)#117649
112年 · #117649
111年 - 111 專技高考_應用地質技師:大地工程學(包括土壤力學與岩石力學)#111950
111年 · #111950