所屬科目:警專◆乙組數學
1. 設 α, β 為 x2+2x+9=0 之二根,則 =(A) -8 (B) -4 (C) 4 (D) 8 (E)送分
2. 複數平面上所有滿足| z+2-3 i | = 1 的點所形成的圖形為何? (A) 一直線 (B) 二點 (C) 一點 (D) 一圓
3. 試計算 196-18✕195-16✕194-50✕193-132✕192+4之值= (A) 23 (B) 33 (C) 365 (D) 375
5. 已知 △ABC 之三邊長 a = 3, b = 4 , c = ,則其外接圓半徑為 (A) (B) (C) (D)
6. 化簡 =(A) sinΘ (B) cosΘ (C) -sinΘ (D) -cosΘ
7. 設cosθ = 且 ,則 sin = (A) (B) (C) (D)
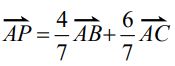
8. 設 A,B,C 三點不共線,點 P 與A,B,C三點共平面且 。 令 與 之交點為 M ,若 , ,則 x = (A) (B) (C) (D)
9. 二向量滿足 , , ,則 與 的夾角為 (A) 30° (B) 45° (C) 60° (D) 120°
10. 關於空間中一點 P( -1, 2, -3),下列敘述何者正確? (A) P 點到 xy 平面的距離為 (B) P 點到 x 軸的距離為 (C) P 點到平面 E:x-2y+z+3=0 的距離為 (D) P 點到空間中另一點 Q(0,1, -2) 的距離為 3
11. 空間中兩平行平面 2x-y+2z-1=0 , 4x-2y+4z+3=0 的距離為 (A) (B) (C) (D)
13. 若一圓通過 P(4, 5) 且與圓C:x2+y2-4x+2y+1=0有相同的圓心 (a,b ),則 (A) 圓心為 ( -2,1) (B) 半徑為 (C) a+b= 2 (D) 兩圓所夾環狀區域面積>150
14. 設F1 (2, -4) , F2 (2, 2),則平面上滿足 = 6 之 P 點軌跡為 (A) 一橢圓 (B) 一對雙曲線 (C) 一線段 (D) 無圖形
15. 已知雙曲線 =1 上一點 P 到其中一焦點 F1 的距離為 6,那麼 P 到另一焦點 F2 的距離是多少? (A) 10 (B) 12 (C) 14 (D) 16
16. 設數列 〈 an 〉之遞迴關係式為: a1 = -1, a2 = 3 , an=2an-1+an-2 , n≧3,求a6 = (A) 75 (B) 74 (C) 23 (D) 22
22. 生研社的同學根據所養的 100 隻天竺鼠之身長與體重,分別作其體重對身長的迴歸直線如下圖。已知 X 代表身長 ( X' 為其標準化數據)、Y 代表體重(Y'為其標準化數據),請選出合理的圖形。 (A) (B) (C) (D)
23. 下列哪一個矩陣不存在反矩陣? (A) (B) (C) (D)
24. 若矩陣 滿足 3A-2X=4B ,則 a = (A) (B) (C) 2 (D)
25. 設 A, , B C 均為二階方陣, I 為二階單位方陣、O為二階零矩陣,則下列敘述何者正確? (A) 若A2= I ,則 A = I 或 A = -I (B) 若A2=O ,則 A=O (C) 若 AB =AC ,則 A=B (D) 若 AB=O 且 ,則 B = O
26. 設 滿足 2x+3y=5 ,則 x2+4y2之最小值為 (A) 3 (B) 4 (C) 5 (D) 6
27. 下列哪一個不等式的解為任意實數? (A) x2-3x+1>0 (B) x2-6x+9≧0 (C) -x2-4x+2≦0 (D) -x2+2x+1<0
28. 若二次不等式ax2+bx+2≧ 0 的解為-2≦x≦ ,則 a+b = (A) 5 (B) -5 (C) 1 (D) -1
29. 若點P(a,b) 在三直線 L1:x-y+2 =0 , L2:2x+3y-6= 0 , L3:x-2 y- 5 =0 所圍成的三角形區域內,則下列何 者為真? (A) a- b≧-2 , 2a+3b≦6, a- 2b≧5 (B) a- b≦-2 , 2a+3b≧6, a- 2b≧5 (C) a- b≧-2 , 2a+3b≦6, a- 2b≦5(D) a- b≦-2 , 2a+3b≧6, a- 2b≦5
32. 設〈an 〉為一個數列,共有 50 項,則下列敘述何者正確? (A) 已知 a1 =1,a2 = 4 , a3 = 7,則 a4 =10 (B) 令Sn= a1+a2+a3+........+an ,則an =Sn-Sn-1(C) 若〈an 〉為等差數列,則 〈an 〉不會是等比數列 (D) 若〈an 〉 為等差數列,則 a1 , a4 , a7 , a10 亦為等差數列 (E) 若〈an 〉為等比數列,則 a1+a2 , a3+a4 ,a5+a6 ,a7+a8亦為等比數列
33. 下列哪些無窮數列為收斂數列? (A) < 6 >(B) <3✖(-1)n > (C) (D)(E)
34. 不論 x 為任何實數值, 之值恆為一定數 k ,則 (A)k = (B)a = (C) b = 2 (D) 3a+b= 0 (E) ab > 0
35. 下列式子哪些是正確的? (A) log23✕ log35= (B) log32+log34=log38 (C)log57-log59= (D) log25✕log27=log235(E)
36. 若 a , b , c 分別表 ∠A , ∠B , ∠C 的對邊長,則下列條件何者恰可決定一個三角形? (A) b = 2 , c = 3, ∠A=45 ° (B) a =1, b = 2 , c = 3 (C)∠A=∠B=55 ° , c = 3 (D) a = 5 , ∠C = 45° , △ABC =10 (E) b = 3 , c = 4 ,∠B=60 °
37. 下列哪些極坐標表示相同的點? (A) (B) (C) (D)(E)
38. 關於直線 L:2x-3y+1=0 ,下列敘述何者正確? (A) L 之斜率為 (B) (4,-6) 為 L 之法向量 (C) 為 L 之方向向量 (D) L 之參數式為 , (E) L 與直線M :3x- 2y+1=0 垂直
39. 設 A , B 為獨立事件,已知, ,則下列何者正確? (A) (B) (C) (D)(E)
40. 某座海島上所有的食物皆由 A, B, C 三間海產店供應,根據在地人提供的調查記錄,原本選擇在 A 店消費的顧 客,次月仍選擇在 A 店消費的比例有 80%,有 10% 會改至 B 店消費,剩餘 10% 則選擇至 C 店消費;原本 選擇在 B 店消費的顧客,次月仍選擇在 B 店消費的比例有 50%,有 30% 會改至 A 店消費,剩餘 20% 則選 擇至 C 店消費;原本選擇在 C 店消費的顧客,次月仍選擇在 C 店消費的比例有 60%,有 20% 會改至 A 店 消費,剩餘 20% 則選擇至 B 店消費。請問長期而言,下列關於三間海產店市佔率 PA , PB , PC 的估計何者正確? (A)PA> PB >PC (B)PA >PB+PC (C)PA+PB +PC =1(D)PA >0.6 (E)