阿摩線上測驗
登入
首頁
>
高考◆数学◆青海省
> 98年 - 2009年青海省高考真题(理科数学)#30069
98年 - 2009年青海省高考真题(理科数学)#30069
科目:
高考◆数学◆青海省 |
年份:
98年 |
選擇題數:
12 |
申論題數:
0
試卷資訊
所屬科目:
高考◆数学◆青海省
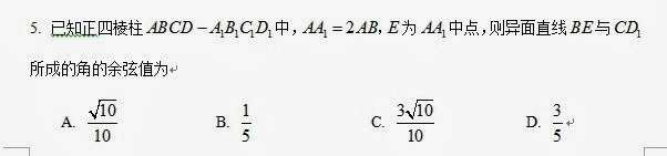
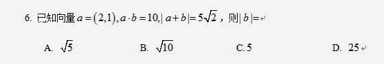
選擇題 (12)
申論題 (0)
相關試卷
102年 - 2013年青海省高考真题(文科数学)#30060
102年 · #30060
102年 - 2013年青海省高考真题(理科数学)#30059
102年 · #30059
101年 - 2012年青海省高考真题(文科数学)#30062
101年 · #30062
101年 - 2012年青海省高考真题(理科数学)#30061
101年 · #30061
100年 - 2011年青海省高考真题(文科数学)#30064
100年 · #30064
100年 - 2011年青海省高考真题(理科数学)#30063
100年 · #30063
99年 - 2010年青海省高考真题(文科数学)#30067
99年 · #30067
99年 - 2010年青海省高考真题(理科数学)#30065
99年 · #30065
98年 - 2009年青海省高考真题(文科数学)#30071
98年 · #30071
97年 - 2008年青海省高考真题(文科数学)#30073
97年 · #30073