所屬科目:中油◆理化
1.若 f (x)=,則下列敘述何者正確? (A) f (0)=3 (B) f (x)=8⇒x=1 (C) f (7)=66 (D) f (5)=28
6.請問之值為何?(A) -1 (B) 0 (C) 1 (D) 2
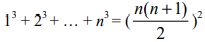
7.利用公式,可計算出( 11 )3 + ( 12 )3 + … + ( 20 )3之值為何? (A) 41055 (B) 41075 (C) 41095 (D) 44100
12.有關對數的運算,下列式子何者正確? (A) log2(-7)=-log27 (B) log2(3× 5)=(log23)(log25) (C) (D) log2(53)=(log25)3
14.袋子裡有 3 個完全相同的球,將其中2 個球上標 1 元,另 1 個球標 5 元,現從袋中任取2個球,即可得到兩個 球所標錢數的總和,則此種玩法所得錢數的期望值為何 ? (A)(B)2(C)(D)
16.設m﹐n 為實數,三向量=(1 ,-2),=(-3 , 4),=(-5 ,-6),若,則數對(m,n)為何?(A) (8 , 19) (B) (19 , 8) (C) (8 ,-19) (D) (19 ,-8)
17.設一等比數列{}﹐其公比為r ,前n 項之和為, a2=12, a5= 96 ,則下列何者正確? (A) r=−2 (B) r=2 (C) a6= 288 (D) S5= 378
18.設a﹐b﹐c∈R,a≠0,已知y=ax2+bx +c 之圖形如下,則下列何者正確? (A) a>0 (B) b<0 (C) c>0 (D)b2-4ac= 0
20.若 222222 的正因數共有 n 個,將它們由小而大依序排列,得,則=?(A) 111111 (B) 74074 (C) 37307 (D) 31746
21.有6位旅客搭乘一列掛有四節車廂的火車,若每一位旅客皆隨機任意進入一車廂,則第二節車箱恰有其中2 位旅客的機率為何?(A)(B)(C)(D)
23.下列四個直方圖表示的資料,何者之標準差最大﹖(A)(B)(C)(D)
24.設,則a、b、c 之大小關係為何? (A) a>b>c (B) a>c>b (C) b>c>a (D) c>b>a
25.設x、y 為有理數,若,則 x =?(A) 2 (B) 3 (C) 5 (D) 10
33.將相同質量的甲、乙、丙、丁四種液體,用同一穩定熱源加熱, 其溫度與加熱時間的關係如圖所示。則哪一種液體的比熱最小?(A) 甲 (B) 乙 (C) 丙 (D) 丁
40.兩平行導線 A、B,垂直水平紙面放置,今同時通以電流,在周圍產生的磁場如圖所示,則下列關於電流方向及兩者間的作用力之敘述,何者正確 ?(A) A 的電流方向為出紙面向上,B 的電流方向為入紙面向下 (B) A 的電流方向為入紙面向下,B 的電流方向為出紙面向上 (C) A、B 兩平行導線互相吸引 (D) A、B 兩平行導線間無作用力
58.由原子及原子為所組成的H2O 分子中,所含之質子數、電子數及中子數分別為若干?(A) 10、10、8 (B) 10、9、16 (C) 8、10、8 (D) 9、9、9
65.若的原子核放射出一個 β 粒子(),一個 α 粒子(),則產物的質子數為何?(A) 85 (B) 86 (C) 87 (D) 88