阿摩線上測驗
登入
首頁
>
航空測量學與遙感探測
> 98年 - 98 地方政府特種考試_三等_測量製圖:航空測量學#47665
98年 - 98 地方政府特種考試_三等_測量製圖:航空測量學#47665
科目:
航空測量學與遙感探測 |
年份:
98年 |
選擇題數:
0 |
申論題數:
5
試卷資訊
所屬科目:
航空測量學與遙感探測
選擇題 (0)
申論題 (5)
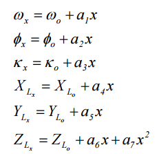
一、利用線陣列感測器(linear array sensor)求解空中三角測量,若採用下列公式,說明 這些式子中各項文字與符號的意義,並說明第六式與其他五式主要不同處及其原因。 (20 分)
二、利用數值影像匹配(digital image matching)技術,辨認數值立體像對中之相似影像 特徵(characteristics)時,有那些自動化、可加速作業之策略?任舉四項不同者, 扼要說明之。(20 分)
三、產製數值正射影像必備之資料有那些?此外,一般有正投影(forward projection) 與逆投影(backward projection)兩種正射糾正方式,說明並比較這二種方式之作業 原理。(20 分)
四、像幅式攝影機(frame camera)拍攝與橫軌掃瞄(across-track scanning)兩種方式所 得影像上出現之高差位移(relief displacement)有何異同?繪圖說明。(20 分)
五、任舉一種全色態加強(pan-sharpening)遙測影像之處理方式,說明其目的與作業程 序。(20 分)