阿摩線上測驗
登入
首頁
>
工程經濟學
> 98年 - 98 專技高考_交通工程技師:工程經濟#33460
98年 - 98 專技高考_交通工程技師:工程經濟#33460
科目:
工程經濟學 |
年份:
98年 |
選擇題數:
0 |
申論題數:
10
試卷資訊
所屬科目:
工程經濟學
選擇題 (0)
申論題 (10)
一、何謂民間參與公共建設 BOT 案分析中的自償率,如何計算?(5 分)
二、何謂資金回收因子(Capital Recovery Factor),如何計算?(5 分)
三、說明名目利率(nominal interest rate)與實質利率(effective interest rate)之差異。 (5 分)
四、何謂 EVPI(Expected value of perfect information),請說明如何計算?(5 分)
五、何謂賀氏準尺(Hurwicz Criterion)?何謂拉氏原則(Laplace Principle)?(10 分)
六、何謂 DB(Declining Balance Method)遞減法?何謂 DDB(Double Declining Balance Method)遞減法?(10 分)
七、在考慮風險的多重未來情況的決策準則,例如優勢準則…等等,請列出各種方法, 並加以說明之。(15 分)
八、某人借貸 100 萬元,以 5 年分期付款還清,當一年的名目利率(Nominal Interest) 為 12%,若每季付一次分期付款,以每月複利(compounding)計息,則每季要付 款多少?但若改為每月付一次分期付款,以每季為單位計複利,則每月應繳多少? 兩者所繳的利息差多少錢?(15 分)
【已刪除】九、某公司的一位新進交通工程師,接到一個任務去比較下列三個方案,他在 MARR = 10% 下,採用了三種不同工程經濟方法,分別為內部報酬率法、現值法及簡單還本期法,比 較此三個方案,結果可能不同,其資料如下表所示,試請用這三種方法分析,將結果 加以比較,並分析那一方案才是正確的經濟評估結果,為什麼?(15 分)
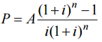
【已刪除】十、某公司投資一項設備,其造成下列各項的收入與支出皆以基年的固定價值計(Constant Dollars),分別為:購置成本 5 億新台幣,使用壽命為 20 年,以直線折舊法提折 舊;但使用到了 10 年後即將之賣掉,賣得 2 億新台幣,這 10 年每年用這個設備賺 得收入為每年 6,000 萬新台幣,每年尚須支出的營業成本總計 500 萬新台幣。請計 算當未來各年的收支皆因通貨膨脹而變動,並考慮所得稅率,同時,將所須購置成 本的資金的 50%改用貸款方式取得,貸款年利率為 10%,此時此一投資方案的淨現 值為多少?(假設稅率為 30%,當不考慮通貨膨脹率的利率(MARR)為 10%,通 貨膨脹率為 5%)(15 分) (參考公式:
)
相關試卷
114年 - 114 地方政府公務特種考試_三等_工業工程:工程經濟學#134775
114年 · #134775
114年 - 114 專技高考_工業工程技師:工程經濟#133698
114年 · #133698
114年 - 114 交通事業郵政升資考試_員級晉高員級_技術類(選試電機機械)—郵政:工程經濟#133205
114年 · #133205
114年 - 114 高等考試_三級_工業工程:工程經濟學#128758
114年 · #128758
113年 - 113 地方政府公務特種考試_三等_工業工程:工程經濟學#124518
113年 · #124518
113年 - 113 專技高考_工業工程技師:工程經濟#123876
113年 · #123876
113年 - 113 高等考試_三級_工業工程:工程經濟學#121231
113年 · #121231
112年 - 112 地方政府特種考試_三等_工業工程:工程經濟學#118134
112年 · #118134
112年 - 112 專技高考_工業工程技師:工程經濟#117551
112年 · #117551
112年 - 112 公務升官等考試_薦任_工業工程:工程經濟學#117308
112年 · #117308