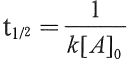
所屬科目:1.化工熱力學 2.化學反應工程學
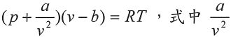
9,凡得瓦方程式(Van der Waals equation )為的物理意義為何? (A)真實氣體估有體積 (B)真實氣體分子間有吸引力 (C)真實氣體有重量 (D)真實氣體會互相碰撞
17.1莫耳理想氣體進行等溫可逆膨脹,則△U(內能)及△H(焓),下列何者正確? (A) △U >0,△H=0(B) △U=0,△H>0 (C) △U=0,△H=0 (D)△U <O, △H <O
22.一個己知化學計量係數的反應,2A+B→C,則對A的反應級數為? (A) 1 (B) 2 (C) 3 (D)無法判定
23.卡諾循環實驗用之熱機,在室溫30與加熱溫度300℃之間運轉,該熱機之最大效率為? (A) 10 % (B) 47% (C) 52 % (D) 60%
28.阿瑞尼亞士方程式(Arheniusequtio)為,式中之A值與下列那一項具有直接關係?(Ea:活化能,R:氣體常數,T:溫度) (A)反應時間 (B)反應物之濃度 (C)活化能 (D)反應物碰撞頻率及方向
35.由克勞吉斯-克拉泊壤(Clausius-Clpeyo式,以液體的蒸氣壓取對數為縱軸,絕對溫度的倒 數為横軸,作圖得一直線·由直線科事可求液體之? (A)凝固熱 (B)汽化熱 (C)昇華熱 (D)燃燒熱
42.熱力學第一定律若以△U=q-w來表示,對理想氣體而言, 值為多少? (A) Cv (B) Cp (C) 1 (D) 0
43.水在100℃蒸發的潛熱△Hv(latentheat)為540cal/g則1莫耳水在100℃蒸發的熵變化值 (△S)是多少 calimoleㆍK ? (A) 97 (B) 87 (C) 26 (D) 16
44.於25 ℃時,將0.4moleA與0.6molB混合,若混合液為理想溶液,則混合前後自由能△G 變化多少卡(cal)? (A) -398.5 (B) 398.5 (C) -16.4 (D) 16.4
45.將100公克C12H2O11溶於25℃、1000公克純水中,求此理想稀薄溶液之蒸汽壓下降多少 torr?(純水在25℃的蒸汽壓為23.8torr,C12H22O11分子量=342g/mole) (A) 0.125 (B) 0.135 (D) 0.155 (C) 0.145
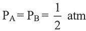
47.在25℃氣相反應的平衡常數Kp=0785m,當系統總壓力為多少atm時, N2O4分解50%? (A) 0.59 (B) 0.65 (C) 0.79(D)0.85
48.若 A(g)+B(g)→C(g),反應速率=K[A][B],當 時之反應速率為R, 若時,其反應速率變為? (A) R (B) R (C) R (D) R
50.氣相反應系,下列敘述何者錯誤? (A)增加系統溫度,反應向左 (B)系統體積增大,反應向左 (C)溫度與系統總壓力不變下通入氦氣,反應向左 (D)定溫定容下通入氦氣,反應向右
51.下列對反應級數的敘述,何者錯誤? (A)反應速率與反應物濃度無關者為零級(B)零級反應之半生期和初濃度無關 (C)三級反應之半生期和初濃度平方成反比(D)二級反應之半生期
52.乙苯脫氫反應為,已知反應溫度:800K,壓力: 1.013✖ 105Pa, 平衡常數K=4.688✖10-2,則平衡時乙苯轉化率為? (A) 0.212 (B) 0.312 (C) 0.412 (D) 0.512
54.在批式反應器(Batchreactor)中進行一化學反應,其中測得三個成份(components)A、R 和S的濃度CA、CR和CS與反應時間t的關係,如下圖所示。
請問下列何者為可能的化學反應方程式? (A)AR;A→S (B)A→S+R (C)A→S→R (D)A→R→S
59.承上題,若 CSTR 之space time :A的進料莫耳流量,CA0:A的進料莫 耳濃度,V:反應器體積,v0進料體積流速。假設反應為一級反應,XA:A的莫耳分 率,且vo=定值,則τ與下列何式成正比?(A) (B) (C)(D)