阿摩線上測驗
登入
首頁
>
有機化學
> 98年 - 98 關務特種考試_四等_化學工程:有機化學概要#42534
98年 - 98 關務特種考試_四等_化學工程:有機化學概要#42534
科目:
有機化學 |
年份:
98年 |
選擇題數:
0 |
申論題數:
25
試卷資訊
所屬科目:
有機化學
選擇題 (0)
申論題 (25)
【已刪除】 ⑴
【已刪除】 ⑵
【已刪除】 ⑶
【已刪除】 ⑷
⑴ glycerol ⑵ benzophenone
⑶ acetylene
⑷ 5-oxononal
【已刪除】⑴
【已刪除】 ⑵
【已刪除】 ⑶
【已刪除】 ⑷
【已刪除】 ⑸
【已刪除】 ⑹
【已刪除】 ⑺
【已刪除】 ⑻
【已刪除】 ⑼
【已刪除】 ⑽
⑴前列腺素
⑵三酸甘油酯
⑶肥皂的結構
⑷類固醇
⑸萜類化合物
【已刪除】五、畫出下列聚合物的單元體結構:(6 分)
六、環己烯和 2-己炔的分子組成皆為 C
6
H
10
。請繪出兩化合物結構,並說明如何利用 IR 光譜區分此二化合物。(10 分)
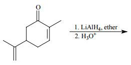
【已刪除】七、寫出下列反應的詳細電子反應機構,以箭頭表示電子的流動方向。(11 分)
相關試卷
114年 - 114 公務升官等考試_薦任_化學工程:有機化學#133257
114年 · #133257
114年 - 114 調查特種考試_三等_化學鑑識組、醫學鑑識組:有機化學#129586
114年 · #129586
114年 - 114 一般警察特種考試_二等_刑事鑑識人員材料及化學物品鑑析組:有機化學#127790
114年 · #127790
114年 - 114 關務特種考試_三等_化學工程(選試英文):有機化學#126661
114年 · #126661
114年 - 114 關務特種考試_四等_化學工程(選試英文):有機化學概要#126655
114年 · #126655
113年 - 113 調查特種考試_三等_化學鑑識組、醫學鑑識組:有機化學#122084
113年 · #122084
113年 - 113 關務特種考試_三等_化學工程(選試英文):有機化學#119488
113年 · #119488
113年 - 113 關務特種考試_四等_化學工程(選試英文)、化學工程(選試日文):有機化學概要#119484
113年 · #119484
112年 - 112 地方政府特種考試_四等_化學工程:有機化學概要#118363
112年 · #118363
112年 - 112 地方政府特種考試_三等_化學工程:有機化學#118140
112年 · #118140