阿摩線上測驗
登入
首頁
>
工程數學(應用數學, 線性代數、微分方程、複變函數與機率)
> 98年 - 98 高等考試_三級_電力工程、電子工程、電信工程、醫學工程:工程數學#36836
98年 - 98 高等考試_三級_電力工程、電子工程、電信工程、醫學工程:工程數學#36836
科目:
工程數學(應用數學, 線性代數、微分方程、複變函數與機率) |
年份:
98年 |
選擇題數:
20 |
申論題數:
4
試卷資訊
所屬科目:
工程數學(應用數學, 線性代數、微分方程、複變函數與機率)
選擇題 (20)
1 下列何者不正確? (A) x
2
y′′ +10x
2
y′ + 5y = 0是尤拉-哥西(Euler-Cauchy)方程式 (B)2xydx + x
2
dy = 0是正合(Exact)方程式 (C) y′ + y tan x = sin 2x是線性(linear)微分方程式 (D) y′ + 3xy = y
3
x
2
是白努利(Bernoulli)方程式
2 有一微分方程式 y′′ + y′− 2 y= 0 , y(0) = 4 , y′(0) = −5,下列何者為其解? (A) y = e
x
+ 3e
2x
(B) y = e
−x
+ 3e
2x
(C) y = e
−x
+ 3e
−2x
(D) y= e
x
+ 3e
−2x
3 下列何者不是線性(linear)微分方程式? (A) x
3
y′+ 3x
2
y=1/x = (B) x2 y′ + 2xy = sinh 5x (C) y′ = 1+ y
2
(D) xy′= 2y +x
3
e
x
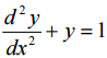
4 下列何者不是微分方程式
的解? (A) y = 1+ cos x (B) y = 1+ sin x (C) y = 2(1+ cos x) (D) y = 1
5 設
,令旋度(curl)∇ × F = αi + β j + γ k ,則α + β + γ 等於? (A) 6 (B) 0 (C) −1/2 (D)− 3
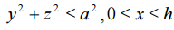
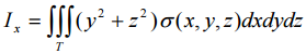
6 令σ (x, y,z) 為空間中某物體之密度分布,T 為該物體所存在之領域(region),其對 X 軸之轉動慣量(moment of inertia) 為
。今有一密度為1之圓柱體 ,
T:
,其 I
x
為:
7 令矩陣 A=
,設a, b, c, d 皆為正值,且 A
T
A = I ,則a + b + c + d 等於多少?
8 令u 為
向量,則下列敘述何者錯誤? (A) uu
T
為對稱矩陣 (B) uu
T
的秩(rank)為 1 (C) uu
T
恆可對角化 (D) uu
T
的特徵值恆大於0
9 令向量x= [1 1 -2 ]
T
,下列何者正確?
10 試求當線性聯立方程式:
,具有無窮多組解時, a = ? (A)a = −3 (B)a = 3 (C)a = √3 (D)a = ±2 √2
11 若 f (t)的拉普拉斯轉換式(Laplace transform)為
,試求
。 (A) 0 (B)1/2 (C) 1 (D)∞
12 以下何者為 δ (t − a) *u(t + b)之拉普拉斯轉換式(Laplace transform)?其中δ (t)為脈衝函數(impulse function); u(t)為單步階函數(unit step function)。
13 已知週期為 1 的函數
,欲將 f (x)展開成f (x)=
,試問 b
n
為何?
14 有一函數
,求 F(x)的傅立葉轉換(Fourier transform)
15 微分方程式 x(1− x) y′′ + [c − (1+ a + b)x] y′ − aby = 0 稱為 hyper-geometric 方程式,其中的a, b, c為常數。則 x = 0 是此 方程式的什麼點? (A)規則奇異點(regular singular point) (B)不規則奇異點(irregular singular point) (C)正常點(ordinary point) (D)可解析點(analytic point)
16 令 z 為任一複數且 z ≠ 0 ,則下列敘述何者為真?
17 令 f ( )z = (1− x)
3
+ i y
3
,其中 z = x + i y為複數(complex number),
。則下列敘述何者正確? (A)對於複數平面上任何一點 z , f '(z)皆不存在 (B)只有在 z =1時, f '(z)才存在 (C)除了 z =1之外, f '(z)皆存在 (D)只有在 z = 0 時, f '(z)才存在
18 若
? (A)760 +100√3 (B)760 +128 √3 (C)765 +100 √3 (D)765 +128 √3
19 設一隨機變數(random variable)X ,其期望值(mean value)E[X ] = 2,均方差(variance)
。令Y = 2X + 3 ,則
之值為何? (A) 27 (B) 21 (C) 12 (D) 6
20 在某一個車站,公車到站的時間是隨意分布在上午 10 點到 10 點 50 分之間。一個乘客在上午 9 點 55 分抵達車站,一 直等到 10 點 10 分都沒有公車。從現在開始算,20 分鐘之內公車會到站的機率為何? (A) 0.20 (B) 0.40 (C) 0.45 (D) 0.50
申論題 (4)
【已刪除】一、試應用留數定理(Residue Theorem)計算下列積分
(15 分) 。
【已刪除】⑴請用迴旋積分公式(convolution formula)求出
的反拉普拉斯轉換式 (inverse Laplace transform)。(10 分)
⑵寫出 g(t) = sin(wt + v) 的拉普拉斯轉換式(Laplace transform),其中w及v都是常數。 (5 分)
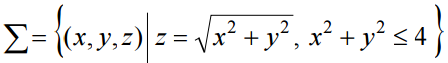
【已刪除】三、考慮一錐面∑ ,其定義為
。假設在∑ 上的質量 密度函數為ρ(x, y,z) = x
2
+ y
2
,試計算其質心的座標(
。(20 分)
相關試卷
114年 - 114 專技高考_電機工程技師:工程數學(包括線性代數、微分方程、複變函數與機率)#133679
114年 · #133679
114年 - 114 專技高考_電子工程技師:工程數學(包括線性代數、微分方程、向量分析、複變函數與機率)#133677
114年 · #133677
114年 - 114 調查特種考試_三等_電子科學組:工程數學#129578
114年 · #129578
114年 - 114 國家安全情報特種考試_三等_電子組(選試英文):工程數學#127780
114年 · #127780
113年 - 113 專技高考_電子工程技師:工程數學(包括線性代數、微分方程、向量分析、複變函數與機率)#123976
113年 · #123976
113年 - 113 專技高考_電機工程技師:工程數學(包括線性代數、微分方程、複變函數與機率)#123971
113年 · #123971
113年 - 113 調查特種考試_三等_電子科學組:工程數學#122110
113年 · #122110
113年 - 113 身心障礙特種考試_三等_電力工程:工程數學#119517
113年 · #119517
112年 - 112 地方政府特種考試_三等_電力工程、電子工程:工程數學#118376
112年 · #118376
112年 - 112 專技高考_電機工程技師:工程數學(包括線性代數、微分方程、複變函數與機率)#117639
112年 · #117639