阿摩線上測驗
登入
首頁
>
水資源工程學
> 98年 - 98 高等考試_二級_水利工程:水資源工程#32693
98年 - 98 高等考試_二級_水利工程:水資源工程#32693
科目:
水資源工程學 |
年份:
98年 |
選擇題數:
0 |
申論題數:
5
試卷資訊
所屬科目:
水資源工程學
選擇題 (0)
申論題 (5)
一、由一小型混凝土重力壩的壩體橫切面顯示壩頂寬 1.5 m,底座寬 11 m,壩高 20 m, 上游面為垂直。假設滿水位之水深為 16 m,考慮完整上頂力,摩擦係數為 0.7,每 立方公尺混凝土重 24 kN(千牛頓),忽略地震及冰壓力,請估計此壩體傾倒及滑 動的安全係數。(20 分)
二、一反力(reaction)水輪機由一條長 60 m、管徑 200 cm 的壓力鋼管供水,鋼管糙度 (ε )為 1 mm,前池頭水位比尾水管入口高出 30 m,後者比尾水道的尾水位高出 5 m。 若水輪機效率為 90%,流量為 20 cms,則水輪機之輸出功率為多少 kW?若欲使輸 出功率增加 1,000 kW 時,流量應增加多少?(20 分)
註:摩擦因子得採用下式概估:f = 0.0151 + 5.30ε − 512 ε
2
【已刪除】三、茲擬在一特別易受洪水災害的河段建造堤防,為達成不同保護程度的堤防年成本 (包括投資成本及維護費用)列於下表。經估計當洪水流量超過河道可無害通過流 量時,將造成約 3,000 萬元的損失,又此損失值與洪水位及洪水歷時相關性甚低。 現況下尚未改善的河道可通過 10 年重現期的洪水,且每年所需維護費用為 20 萬元, 上述興建堤防的年成本中已包含本項河道維護費用。若僅考慮經濟因素,請問有無 必要沿此河段興建堤防?如果有必要,請問應採取何種保護程度為宜?(20 分)
四、有位農夫在某個生長季裡使用 1 m 深的水灌溉其田地,作物耗水量為 120 cm,有效雨 量為 400 mm,灌溉水的鹽分濃度為 500 mg/L。請估算田間灌溉效率與生長季結束時 土壤水的鹽分濃度。若農夫希望控制生長季結束時土壤水的鹽分濃度在 2,250 mg/L, 則田間灌溉效率為何?(20 分)
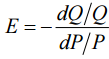
【已刪除】五、自來水公司擬將水價自 8.5 元/m
3
提高至 10 元/m
3
,假設需求彈性為 0.2,請問預期 需求水量可減少多少?當價格改變後,水公司統計發現需求水量減少 4.5%,則真實 的需求彈性為何?(20 分)
提示:
,式中,E 為需求彈性,Q 為需求水量,P 為水價。