阿摩線上測驗
登入
首頁
>
計算機概論、大意(資訊科學概論,電腦常識,電子計算機概論)
> 99年 - 99 地方政府特種考試_四等_電子工程、電信工程、資訊處理:計算機概要#46817
99年 - 99 地方政府特種考試_四等_電子工程、電信工程、資訊處理:計算機概要#46817
科目:
計算機概論、大意(資訊科學概論,電腦常識,電子計算機概論) |
年份:
99年 |
選擇題數:
40 |
申論題數:
0
試卷資訊
所屬科目:
計算機概論、大意(資訊科學概論,電腦常識,電子計算機概論)
選擇題 (40)
1 電腦系統中的記憶體可分為下列五類,若依其存取速度由快至慢排列,其順序應為何?①主記憶體 ②輔 助記憶體 ③L1 快取記憶體 ④L2 快取記憶體 ⑤暫存器記憶體 (A) ①②③④⑤ (B)⑤③④①② (C)⑤④③②① (D)②①④③⑤
2 目前國內網咖業者使用最多的寬頻設備為: (A) ATM (B) BSDN (C) ISDN (D) ADSL
3 在 RSA 密碼系統中,A 要傳送機密資料給 B,且只允許 B 閱讀,而不准其他人閱讀,則 A 應使用下列何者 將資料加密? (A) A 之公開金鑰 (B) A 之私密金鑰 (C) B 之公開金鑰 (D) B 之私密金鑰
4 下列有關於 LINUX 的敘述,何者正確?①是自由軟體 ②多工的作業系統(multitasking) ③可支援多使 用者及多處理器(multiprocessor)環境 ④只能使用命令列的使用者介面 (A)①②③ (B)②③④ (C)①②④ (D)①③④
5 電腦最常使用的資訊交換碼是: (A) BCD (B) ASCII (C) CRC (D) Hamming Code
6 有位打字員每分鐘可打 60 個英文字,如果平均每一個英文字為 5 個字母,每一個字母用 1 個位元組來存, 請問這位打字員如果每天連續打字不休息,大約需要多少時間方能填滿 640 MB 容量的 CD? (A) 4 小時 (B)4天 (C) 4 個月 (D) 4 年以上
7 下列何者為 CPU 執行程式的正確順序? (A)取資料、執行、解碼 (B)解碼、取指令、執行 (C)執行、取資料、解碼 (D)取指令、解碼、執行
8 下列有關現代 PC 的 CPU 設計的描述,何者錯誤? (A)執行指令均採管線式(pipeline)設計 (B)工作頻率已超過 1 GHz (C)均使用更高電壓以加速運算 (D)均支援加速多媒體運算的指令集
9 假設有一計算機有 48KB記憶體,若第一個記憶體的位址為 0000
16
,則最後一個記憶體的位址為何? (A)FFFF
16
(B)BFFF
16
(C) 7FFF
16
(D) 3FFF
16
10 十六進制的 100 乘以八進制的 100,所得到的結果下列何者錯誤? (A)等於十六進制的 4000 (B)等於八進制的 40000 (C)比八萬四千大 (D)比十萬小
11 f (A, B, C, D) = (A+B)(C+D)若全部利用雙輸入之 NOR 閘來實作電路,在最經濟的情況下需多少個 NOR 閘即 可? (A)2個 (B)3個 (C)4個 (D)5個
12 一般使用何種邏輯閘來設計同位檢查器(parity checker)? (A) AND (B) OR (C) XOR (D) NAND
13 至少要幾個 NAND 邏輯閘才能組成一個 OR 邏輯閘? (A)2個 (B)3個 (C)4個 (D)5個
14 下列事件發生在分時系統,當行程 A(process A)用完 CPU 時段(time slice)而行程 B 接替著執行的過程 中。請將這些事件依時間先後排列:①CPU 執行中斷處置程式 ②將系統中關於行程 A 的各項資訊儲存入 行程 A 的行程控制表(process table) ③行程 A 用完 CPU 時段會引發一個中斷(interrupt) ④將行程 B 的行程控制表中內容回載入系統中 (A) ①②③④ (B)②③④① (C)③①②④ (D)③①④②
15 下列對多元程式(Multiprogramming)的描述,何者錯誤? (A) CPU 使用效率提高 (B)記憶體的使用更有效率 (C)個別程式執行速度增快 (D)概念上,每一行程擁有自己虛擬 CPU
16 下列那一種排序方法在最壞狀況(worst case)時,執行速度最快? (A)選擇排序法(Selection Sort) (B)合併排序法(Merge Sort) (C)氣泡排序法(Bubble Sort) (D)插入排序法(Insertion Sort)
17 下列堆疊(Stack)運算依序輸出的數值為何? PUSH 16,PUSH 1,POP----,PUSH 5,POP----,PUSH 7,PUSH 3,POP----,POP----,POP---- (A)16,1,5,7,3 (B)3,7,5,1,16 (C)1,5,3,7,16 (D)1,16,5,3,7
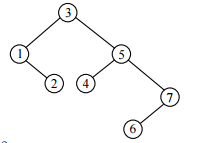
18 將 1 2 3 4 5 6 7 七個數目依某順序插入一個空的二元搜尋樹(Binary Search Tree)後,所得的二元搜尋樹如 下圖所示:
下列那一個插入順序是不可能的? (A)3157624 (B)3541726 (C)3574612 (D)3154267
19 使用鏈結串列(Linked List)儲存一含有 10 個整數元素之串列,假設整數變數與指標變數(Pointer Variables) 均占用 4 個位元組(bytes),則此串列的大小至少為幾個位元組? (A) 10 (B) 20 (C) 40 (D) 80
20 利用氣泡排序法(Bubble Sort)將數值由大到小排序,下列那一堆原始數值在執行此排序法的過程中,其實 際之數值互換次數最少? (A) 10,15,7,13,11 (B) 20,18,9,25,16 (C) 10,12,15,20,23 (D) 25,20,17,16,5
21 若一個完全二元樹(Complete binary tree)的高度為 7(假設樹根之高度為 1),則其最少的可能節點數目為: (A) 63 (B) 64 (C) 127 (D) 128
22 欲求取某地區任二個城市間的最短路徑時,所使用的演算法通常被歸類為下列何種資料型態的相關操作? (A)樹狀結構(Tree) (B)優先佇列(Priority Queue) (C)圖形(Graph) (D)符號表(Symbol Table)
23 下列 C 或 C++迴圈執行完畢後,變數 k 的值為何?
int i, j, k=0; for (i=1;i<=9;i++) for (j=i;j<=i*i;j*=2) k++; (A) 23 (B) 25 (C) 27 (D) 29代號:3434頁次:4-3
24 在下列程式片段中,如果參數的傳遞方式是傳值呼叫(call-by-value),則在此程式執行過後,試問 a[1]及 a[2]的值為何? .... var element: integer; a: array [1..2] of integer; procedure whichmode(x: ? mode integer); begin a[1] := 6; element := 2; x := x+3 end; begin a[1] := 1; a[2] := 2; element := 1; whichmode(a[element]); ….. (A) a[1]=6;a[2]=5 (B) a[1]=6;a[2]=4 (C) a[1]=6;a[2]=2 (D) a[1]=4;a[2]=2
25 一個函式(function)ChangeValue 定義如下: void ChangeValue (int & y) { print(x); y=10; print(y); } 假設 x 是全域變數(global variable),而此函式 ChangeValue 是以傳參考呼叫(call by reference)方式傳遞參 數,則下列程式片段的執行結果為何? main () { x=20; ChangeValue (x); Print (x); } (A) 20, 10, 20 (B) 20, 10, 10 (C) 20, 20, 10 (D) 20, 20, 20
26 下列何者是將算術運算式[(A+B)/(C-D)]×E+F/G 改為後序式(Postfix)之結果? (A)+AB-CD/E+/FG (B)ABCD+-/E×FG/+ (C)AB+CD-/E×FG/+ (D)+/+AB×-CDE/FG
27 下列那種程式語言最適合用於物件導向程式設計? (A) COBOL (B) BASIC (C)C (D) Java
28 下列電腦語言何者是第一個編譯器(compiler)型的高階語言? (A) BASIC (B) COBOL (C) FORTRAN (D) PASCAL
29 下列何者屬於物件導向程式語言(object-oriented programming language)? (A)C (B) LISP (C) BASIC (D) C++
30 我國行政院國家科學委員會最可能的網址是下列那一個? (A) www.nsc.gov.tw (B) www.nsc.edu.tw (C) www.nsc.com.tw (D) www.nsc.net.tw 代號:3434 頁次:4-4
31 在 TCP/IP 通訊協定中,那一類型(Class)的位址被用來作為多點群播(Multicast)用途? (A) Class A (B) Class B (C) Class C (D) Class D
32 以國際標準組織(ISO)所制定的開放系統互連架構(OSI)為主,其中屬於第三層的資料單位稱為什麼? (A)訊框(Frame) (B)封包(Packet) (C)片段(Segment) (D)訊息(Message)
33 下列有關媒介存取控制(MAC)的敘述,何者正確?①IrDA 為紅外線通訊標準之一,其 MAC 採用 token bus ②IEEE 802.11 標準,其 MAC 採用 CSMA/CA ③IEEE 802.3 標準,其 MAC 採用 CSMA/CD ④GSM 的 MAC 採用分頻多重存取(FDMA)與分時多重存取(TDMA) (A)①②③ (B)①③④ (C)①②④ (D)②③④
34 下列何者為正確? (A)行程(process)可以利用 socket 作為對外溝通的介面 (B)目前網際網路所使用的 IP 位址有 128 位元 (C) Domain name server(DNS)可以將電腦的實體位址(MAC 位址)對應至 domain name (D)任何一台電腦就算有遠端電腦的帳號與密碼,也無法使用遠端電腦的資源
35 乙太網路在不計算訊框前序(Preamble)的情況下,其一個封包最小和最大傳輸量各是多少位元組? (A)64,2048 (B)64,1518 (C)128,1518 (D)128,2048
36 將英文單字 hope 的每個字母(h, o, p, e)依序加入一空的資料結構中,然後再逐一從該資料結構中取出各個 字母,卻發現次序變為 e, p, o, h,請問此資料結構最有可能是: (A)堆疊(Stack) (B)佇列(Queue) (C)樹狀結構(Tree) (D)圖形(Graph)
37 動態隨機存取記憶體(DRAM)的更新(refresh)動作之目的為下列何者? (A)加快存取速度 (B)與 CPU 保持同步 (C)維持儲存的資料 (D)提高時脈頻率
38 將磁碟讀寫頭移動到目標磁軌(track)所需的時間,其名稱為何? (A)搜尋時間(seek time) (B)旋轉延遲(rotational delay) (C)查詢時間(lookup time) (D)傳輸時間(transfer time)
39 下列以 C 程式語言撰寫之程式執行後產生之輸出為何? #include
main(){ int x=0x011, y=011; if (--x > y) x=(x-y)%4; else x=(x+y)%5; printf(“%d ”,x); } (A)0 (B)1 (C)2 (D)3
40 下列電路輸出 Y 與輸入 X 之間的邏輯式應為:
(A) Y = X‧X (B) Y = X'‧X (C) Y = X'+X (D) Y = X'
申論題 (0)
相關試卷
114年 - 114 地方政府公務特種考試_四等_電子工程、電信工程:計算機概要#134700
114年 · #134700
114年 - 114 地方政府公務特種考試_四等_資訊處理:計算機概要#134674
114年 · #134674
114年 - 114 地方政府公務特種考試_三等_電力工程、電子工程、電信工程:計算機概論#134565
114年 · #134565
114年 - 114 專技高考_電子工程技師:電子計算機原理#133573
114年 · #133573
114年 - 114 交通事業港務升資考試_員級晉高員級_技術類—港務:電子計算機概論#133232
114年 · #133232
114年 - 114 公務升官等考試_薦任_電子工程:計算機概論#133169
114年 · #133169
114年 - 114 原住民族特種考試_四等_電子工程:計算機概要#130939
114年 · #130939
114年 - 114 調查特種考試_三等_電子科學組:計算機概論#129574
114年 · #129574
114年 - 114 普通考試_電子工程、電信工程:計算機概要#128599
114年 · #128599
114年 - 114 普通考試_資訊處理:計算機概要#128597
114年 · #128597