阿摩線上測驗
登入
首頁
>
織物組合與分析
> 99年 - 99 關務特種考試_四等_紡織工程:織物組合與分析#46987
99年 - 99 關務特種考試_四等_紡織工程:織物組合與分析#46987
科目:
織物組合與分析 |
年份:
99年 |
選擇題數:
0 |
申論題數:
10
試卷資訊
所屬科目:
織物組合與分析
選擇題 (0)
申論題 (10)
⑴繪出兩種網形斜紋。(10 分)
⑵擇一組織圖,繪出穿綜圖,穿筘圖(2 經 1 筘)及紋版圖。(10 分)
二、試繪經緯浮長為 3 的海綿組織(Sponge Weaves)。(5 分)
三、試繪 10 根經紗,6 根緯紗構成的假紗羅組織(Mock leno weaves)。(5 分)
四、試以
正則斜紋組織為基礎,按經向每次填繪 6 根,飛跳 3 根;再按緯向每 4 次填繪 6 根,飛跳 3 根之飛斜紋。(15 分)
⑴試以 16 枚變則緞紋為基礎,繪一經緯浮長需≦6 之布紋組織。(原組織點與增加之 組織點符號須區別)(10 分)
⑵試以緞紋穿法繪出穿綜圖及紋版圖。(10 分)
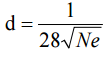
⑴ 試 繪 圖 證 明 ,
, 平 紋 織 物 之 理 論 覆 蓋 率 ( Cover 28 28 Factor)。參數設定如下:(15 分)
λw:一完全組織寬度
λf:一完全組織長度
dw:經紗直徑
df:緯紗直徑
Ne:英制棉紗支數 提示:
⑵試求
平紋布之覆蓋率。(10 分)
七、測一布長 10 碼,布寬 60 英吋(不計布邊),經緯密為 110*80,經緯支數相同,布重 1.78 磅,經緯縮率 5%,試求經緯紗支數為多少 Ne?經換算為多少丹尼(Denier)? (10 分)