阿摩線上測驗
登入
首頁
>
高等流體力學
> 99年 - 99 高等考試_ 二級_水利工程:高等流體力學 #33433
99年 - 99 高等考試_ 二級_水利工程:高等流體力學 #33433
科目:
高等流體力學 |
年份:
99年 |
選擇題數:
0 |
申論題數:
5
試卷資訊
所屬科目:
高等流體力學
選擇題 (0)
申論題 (5)
【已刪除】一、兩個相鄰水箱,右側水箱底面積 4.0 m
2
,初始水深 2.0 m,左側水箱底面積 1.0 m
2
,初 始水深 0.5 m。兩水箱之間有一個圓孔(面積為 1 cm
2
),圓孔流速為V = 0.66 √2gh , h 為兩水箱的水位差,g 為重力加速度。試求圓孔開啟之後多久時間兩水箱水位差 才能由初始水位差 1.5 m 降為零?(20 分)
【已刪除】二、一個圓球形氣球(直徑 2.0 m,比重 0.016)以纜繩固定於水底,氣球露出水面的高 度為 0.5 m。在水流不動的情況下,試問固定氣球之纜繩所受之力為何?(20 分)
【已刪除】三、一個二維、不可壓縮流場的 x 方向和 z 方向流速分別為:
其中 U
o
、W
o
為定值,試求此流場是否為無旋流(Irrotational flow)?(20 分)
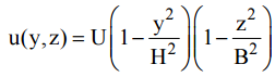
【已刪除】四、一矩形斷面之通風管,管中 x 方向的流速為:
式中 U = 12 m/s,B = 0.5 m,H = 0.4 m,座標原點(y = 0, z = 0)位於矩形斷面的中心。試求此通風管的動量修正係數(Momentum correction factor)?(20 分)
【已刪除】五、一條矩形渠道中有一個與渠道相同寬度的弧形閘門,閘門上游水深 1.2 m,流速 0.5 m/s, 下游水深 0.13 m。若底床坡度為水平,且不考慮底床阻力的假設下,求閘門單位寬 度所受的水平力?(20 分)