阿摩線上測驗
登入
首頁
>
【段考】國一數學上學期
>
105年 - 2016臺南市市立學甲國中七年級105 上學期數學第二次段考(期中考)康軒#60927
> 試題詳解
沒有 【段考】國一數學上學期 權限,請先開通.
答案:
登入後查看
統計:
A(1), B(3), C(5), D(0), E(0) #1559104
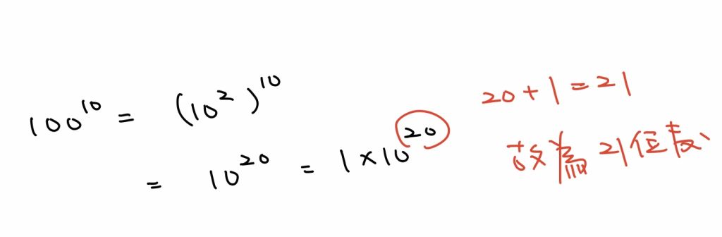
詳解 (共 1 筆)
Sam
B1 · 2020/10/10
#4307645
0
0
相關試題
沒有 【段考】國一數學上學期 權限,請先開通.
#1559105
沒有 【段考】國一數學上學期 權限,請先開通.
#1559106
沒有 【段考】國一數學上學期 權限,請先開通.
#1559107
沒有 【段考】國一數學上學期 權限,請先開通.
#1559108
沒有 【段考】國一數學上學期 權限,請先開通.
#1559109
沒有 【段考】國一數學上學期 權限,請先開通.
#1559110
沒有 【段考】國一數學上學期 權限,請先開通.
#1559111
沒有 【段考】國一數學上學期 權限,請先開通.
#1559112
沒有 【段考】國一數學上學期 權限,請先開通.
#1559113
沒有 【段考】國一數學上學期 權限,請先開通.
#1559114
相關試卷
111年 - 南一課本例題習作輕鬆考#111773
2022 年 · #111773
111年 - 111-1高雄市立林園高級中學 國中部一年級第1次段考(數學科)#111771
2022 年 · #111771
111年 - 桃園市立中興國民中學 111學年度第一學期 七年級第一次定期評量數學科#111770
2022 年 · #111770
111年 - 桃園市新興高中附設國中部111學年度第一學期七年級數學科第一次段考試卷#110939
2022 年 · #110939
111年 - 桃園市新興高中附設國中部111學年度第一學期七年級數學科第一次週考試卷(第一單元)#110921
2022 年 · #110921
111年 - 國一上數學總複習#106519
2022 年 · #106519
111年 - 康軒版七上數學科第三章_一元一次方程式#105866
2022 年 · #105866
110年 - 110 高雄市立陽明國中第1學期第 3 次段考一年級數學科試題#112646
2021 年 · #112646
110年 - 台南市立民德國中110學年度第一學期第二次成績考查一年級數學科試題#112062
2021 年 · #112062
110年 - 高雄市私立道明中學110上第二次段考7年級數學科試卷#112040
2021 年 · #112040