阿摩線上測驗
登入
首頁
>
【段考】國一數學上學期
>
111年 - 桃園市新興高中附設國中部111學年度第一學期七年級數學科第一次週考試卷(第一單元)#110921
> 試題詳解
試題詳解
試卷:
111年 - 桃園市新興高中附設國中部111學年度第一學期七年級數學科第一次週考試卷(第一單元)#110921 |
科目:
【段考】國一數學上學期
試卷資訊
試卷名稱:
111年 - 桃園市新興高中附設國中部111學年度第一學期七年級數學科第一次週考試卷(第一單元)#110921
年份:
111年
科目:
【段考】國一數學上學期
沒有 【段考】國一數學上學期 權限,請先開通.
正確答案:
登入後查看
詳解 (共 3 筆)
Anabel
B2 · 2023/02/18
推薦的詳解#5725779
未解鎖
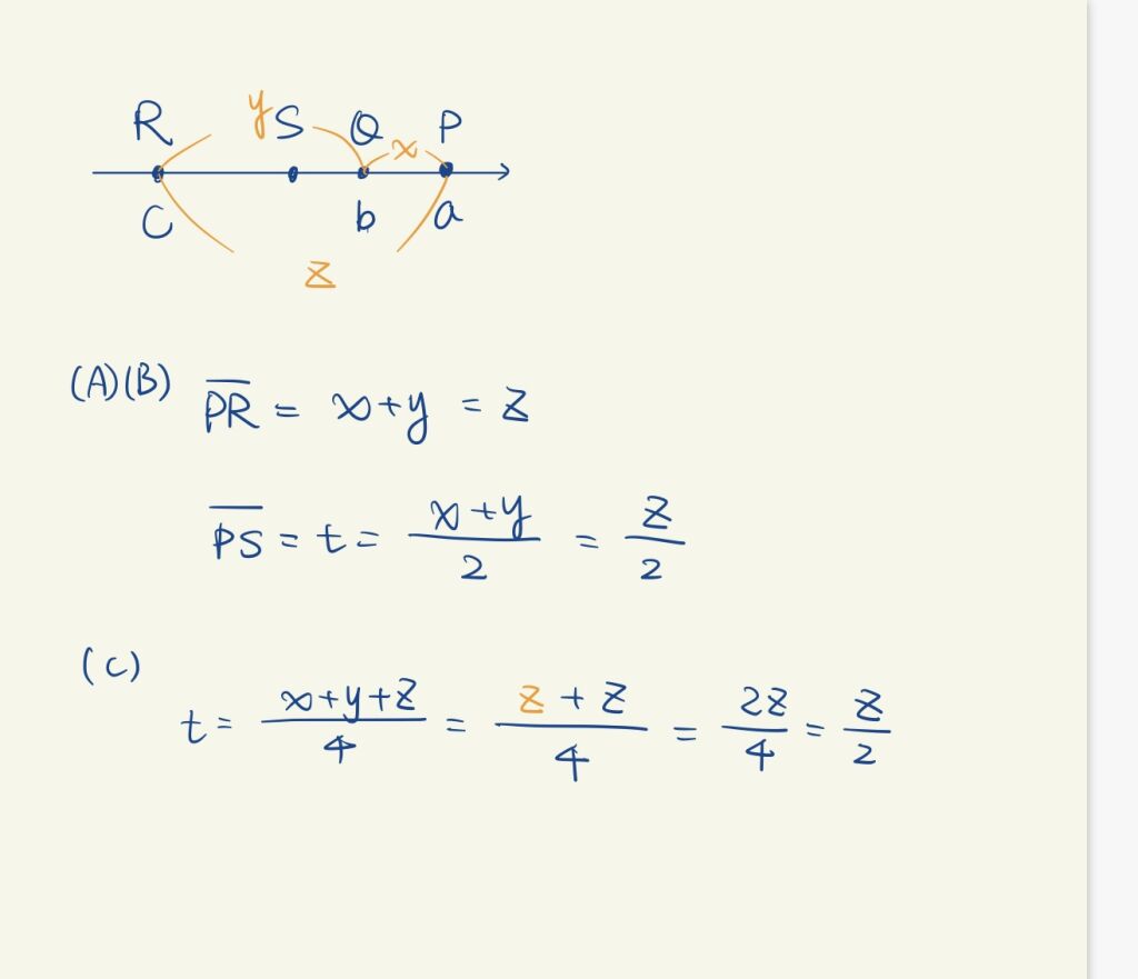
x=∣a-b∣=線段PQy=∣b-c∣=...
(共 72 字,隱藏中)
前往觀看
0
0
MoAI - 您的AI助手
B3 · 2025/12/07
推薦的詳解#7205779
未解鎖
這是一道關於數線幾何與代數運算的題目。我...
(共 1931 字,隱藏中)
前往觀看
0
0
MoAI - 您的AI助手
B4 · 2025/12/07
推薦的詳解#7205784
未解鎖
這是一道關於數線、絕對值(距離)與線段中...
(共 2108 字,隱藏中)
前往觀看
0
0