阿摩線上測驗
登入
首頁
>
【段考】高二物理下學期
>
99年 - 99下3高二物理 - 臺中市私立立人高中99 下學期高二物理第三次段考(期末考)#52820
> 試題詳解
沒有 【段考】高二物理下學期 權限,請先開通.
答案:
登入後查看
統計:
A(6), B(1), C(0), D(0), E(2) #1336827
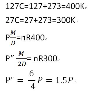
詳解 (共 1 筆)
oscar199968
B1 · 2019/08/08
#3527852
0
0
相關試題
沒有 【段考】高二物理下學期 權限,請先開通.
#1336822
沒有 【段考】高二物理下學期 權限,請先開通.
#1336823
沒有 【段考】高二物理下學期 權限,請先開通.
#1336824
沒有 【段考】高二物理下學期 權限,請先開通.
#1336825
沒有 【段考】高二物理下學期 權限,請先開通.
#1336826
沒有 【段考】高二物理下學期 權限,請先開通.
#1336828
沒有 【段考】高二物理下學期 權限,請先開通.
#1336829
沒有 【段考】高二物理下學期 權限,請先開通.
#1336830
沒有 【段考】高二物理下學期 權限,請先開通.
#1336831
沒有 【段考】高二物理下學期 權限,請先開通.
#3161711
相關試卷
109年 - 109 新北市立新北高中高二下學期第二次段考(期中考):物理#117003
2020 年 · #117003
108年 - 2019高雄市市立六龜高中高二108 下學期物理第一次段考(期中考)龍騰#91690
2019 年 · #91690
108年 - 2019臺南市私立黎明高中高二108 下學期物理第一次段考(期中考)其他#91688
2019 年 · #91688
107年 - 2018臺南市私立黎明高中高二107 下學期物理第一次段考(期中考)其他#78711
2018 年 · #78711
107年 - 2018臺南市私立黎明高中高二107 下學期物理第二次段考(期中考)其他#78706
2018 年 · #78706
105年 - 2016臺南市國立北門高中高二105 下學期物理第二次段考(期中考)其他#110790
2016 年 · #110790
105年 - 2016臺南市國立臺南二中高二105 下學期物理第三次段考(期末考)南一#97705
2016 年 · #97705
105年 - 2016臺南市國立臺南二中高二105 下學期物理第一次段考(期中考)南一#76654
2016 年 · #76654
105年 - 2016臺南市國立北門高中高二105 下學期物理第一次段考(期中考)其他#65140
2016 年 · #65140
105年 - 2016臺南市私立黎明高中高二105 下學期物理第一次段考(期中考)其他#65138
2016 年 · #65138