阿摩線上測驗 登入

試題詳解

試卷:114年 - 15600 通信技術(電信線路) 甲級 工作項目 03:電信線路工程維護之管理 151-186(2025/12/22 更新)#135537 | 科目:技檢◆通信技術(電信線路)-甲級

試卷資訊

試卷名稱:114年 - 15600 通信技術(電信線路) 甲級 工作項目 03:電信線路工程維護之管理 151-186(2025/12/22 更新)#135537

年份:114年

科目:技檢◆通信技術(電信線路)-甲級

複選題
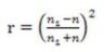
172. 有關菲耐爾反射量(Fraction of Fresnel Reflection)的計算, ,下列敘述何者正確?
(A) n1為第一心光纖的折射率,n 為空氣的折射率
(B)n1為第一心光纖的折射率,n 為第二心光纖的折射率
(C)r 為介接的兩心光纖中的一心光纖的反射率
(D)r 為介接的兩心光纖的反射率 。

正確答案:登入後查看