阿摩線上測驗
登入
首頁
>
船舶操作與船上人員管理(概要)
>
111年 - 111-1 航海人員測驗_一等船副:船舶操作與船上人員管理#106697
> 試題詳解
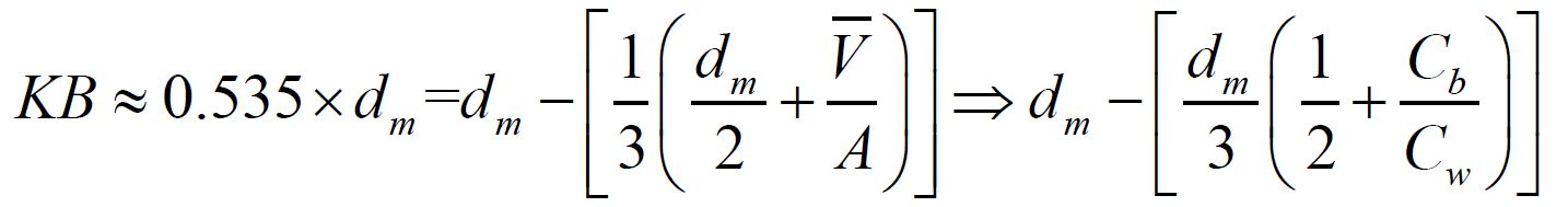
1. 依據公式:浮心高度(KB)=(d/3)(2.5-Cb/X)之摩利斯近似式求浮心位置,若式中之 Cb=方塊係數;d=平均吃水,則式中的X值應為下列何者?
(A) 菱形係數
(B) 水線面積係數
(C) 垂直菱形係數
(D) 舯橫剖面積係數
答案:
登入後查看
統計:
A(36), B(522), C(25), D(92), E(0) #2883400
詳解 (共 1 筆)
馬英精
B1 · 2026/02/26
#7305161
0
0
私人筆記 (共 1 筆)
航海者
2023/09/02
私人筆記#5428766
未解鎖
摩利斯近似式 KB = d/3 ( 5/...
(共 51 字,隱藏中)
前往觀看
10
0
相關試題
【已刪除】2. 某船排水量8,000噸,重心高度(KG)為10公尺,今將船艙內某100噸重貨物垂直向下移4公尺 ,再向左側水平移動8公尺,問船重心移動之變化? (A) 向下0.10 m;向左0.50 m (B) 向下0.10 m;向右0.50 m (C) 向下0.50 m;向左0.10 m (D) 向下0.50 m;向右0.10 m
#2883401
3. 某船排水量8,200噸平正漂浮於水上,重心距龍骨上5公尺,該船左舷肩艙(Top side tank)滿載 壓艙水200噸,水艙滿載時重心高度距龍骨上15公尺,橫向重心距船中心線12 m,今把左舷肩艙壓 艙水打空排出船外,求船體重心移動的變化? (A) 向上0.38 m;向左0.3 m (B) 向上0.40 m;向左0.3 m (C) 向下0.38 m;向右0.3 m (D) 向下0.40 m;向右0.3 m
#2883402
4. 某船排水量8,000噸,重心高度為10米,今將2,000噸貨物自距龍骨高度4公尺處卸下,又將 2,000噸貨物裝於距龍骨高度上14公尺處,問裝卸貨物後的船舶重心高度? (A) 10.0 m (B) 10.5 m (C) 11.5 m (D) 12.5 m
#2883403
5. 為表示船舶的大小,自古即使用噸位(Tonnage)來表示,而船舶噸位有重量噸位與容積噸位兩 類,請問下列何者是用以表示船舶之重量? (A) 總噸位 (B) 載貨重量噸位 (C) 淨噸位 (D) 排水量
#2883404
6. 依據MARPOL公約附則V,有關離岸工作平台之「生活廢棄物」垃圾拋棄之規定,下列敘述何者 正確? (A) 不得拋棄 (B) 離岸12海浬以外 (C) 離岸25海浬以外 (D) 離岸50海浬以外
#2883405
7. 船舶航行中船員將洗艙、壓艙或挖艙等作業所產生之污水、垃圾等污染物質,直接排放或棄置於 海洋。此種污染行為之性質屬於下列何種? (A) 非法性污染 (B) 操作性污染 (C) 事故性污染 (D) 傳染性污染
#2883406
8. 請問油料紀錄簿第一部分為機器空間作業,其第二部分為何作業? (A) 液貨與壓載作業 (B) 貨油/壓載作業 (C) 駕駛台作業 (D) 物料作業
#2883407
9. 根據MARPOL公約附則I規則38,特別海域外收受設備之設置何者正確? (A) 供油船裝載原油所有港口及裝卸站,而該油船在抵達港口或裝卸站前,完成壓載航行72小時以下 或1000浬以下者 (B) 締約國須備置收受單純油船之殘油和含油混合物設備 (C) 供油船裝載原油所有港口及裝卸站,而該油船在抵達港口或裝卸站前,完成壓載航行72小時以下 或1200浬以下者 (D) 供油船裝載原油所有港口及裝卸站,而該油船在抵達港口或裝卸油站前,完成壓載航行24小時以 下或1000浬以下者
#2883408
10. 1997年議定書修訂MARPOL公約附則,新增的船舶污染,係指下列何項污染? (A) 垃圾污染 (B) 有害物質污染 (C) 空氣污染 (D) 污水污染
#2883409
11. 二重底內的橫向構件主要是由在船底從一舷延伸至另一舷,承受橫向強度及分隔作用的構件所 組成,請問下列何者不屬於二重底內的橫向構件? (A) 內底板 (B) 實體肋板 (C) (舟必)腋板 (D) 深肋板
#2883410
相關試卷
115年 - 115-1 航海人員測驗_一等船副:船舶操作與船上人員管理#137839
2026 年 · #137839
114年 - 114-4 航海人員測驗_一等船副:船舶操作與船上人員管理#135846
2025 年 · #135846
114年 - 114 公務升官等考試_薦任_海巡技術:船舶操作與船上人員管理#133186
2025 年 · #133186
114年 - 114-3 航海人員測驗:一等船副_船舶操作與船上人員管理#130643
2025 年 · #130643
114年 - 114 海岸巡防特種考試_四等_海洋巡護科航海組:船舶操作與船上人員管理概要#130197
2025 年 · #130197
114年 - 114 海岸巡防特種考試_三等_海洋巡護科航海組:船舶操作與船上人員管理#130191
2025 年 · #130191
114年 - 114 一般警察特種考試_四等_水上警察人員航海組:船舶操作與船上人員管理概要#127659
2025 年 · #127659
114年 - 114-2 航海人員測驗_一等船副:船舶操作與船上人員管理#127556
2025 年 · #127556
114年 - 114-1 航海人員測驗_一等船副:船舶操作與船上人員管理#125836
2025 年 · #125836
113年 - 113-1 航海人員測驗_二等船副:船舶操作與船上人員管理概要#126034
2024 年 · #126034