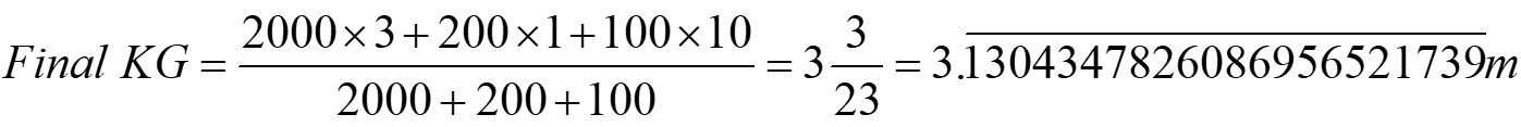
1. 某船於中途港補給油水,到港時排水量 2,000 噸,船舶重心高度 3 公尺。補給燃油 200 噸,
將油櫃裝滿,油櫃重心高度為 1 公尺;又補給淡水 100 噸,將淡水櫃裝滿,水櫃重心高度為 10
公尺,求補給油水後船舶重心高度?
(A) 2.9 m
(B) 3.0 m
(C) 3.1 m
(D) 3.2 m
答案:登入後查看
統計: A(13), B(19), C(241), D(14), E(0) #1328854
統計: A(13), B(19), C(241), D(14), E(0) #1328854
詳解 (共 3 筆)
#2932895
GG'=(200*(1-3)+100*(10-3))/(2000+200+100)=0.1304
KG =3+0.1304=3.1304=3.1
3
0
#7301873

0
0