10 語音辨識率(speech recognition scores)的變異性(variability),係由下列那一種統計學方式來定義?
(A)Pearson correlation
(B)ANOVA
(C)binomial distribution
(D)t-test

答案:登入後查看
統計: A(70), B(67), C(214), D(74), E(0) #2046082

詳解 (共 3 筆)

#5806959

最新聽力學精要p231

我們來看看,為何縮短測驗內容會降低信度。

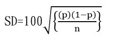
語音辨識分數的變異性大致上受到二項式分配(binomial distribution)影響。(Boothroyd 1968a)

 

精確的說,測驗分數的變異性可藉標準差來表示,依正確反應分數的百分比及測驗的計分項目數而構成數據,可藉數學的方式表示其相關性:

 

,這裡的SD是標準差(以百分比表示),p為測驗分數(以0.0至1.0的比例來表示),n為計分字詞的項目數。

9
0
#4182548
聽力學精要p.257
(共 12 字,隱藏中)
前往觀看
2
1
#4142135
語音辨識分數的變異性大至上受到二項式(b...
(共 46 字,隱藏中)
前往觀看
0
3