阿摩線上測驗
登入
首頁
>
專技 - 調劑學與臨床藥學
>
102年 - 102-2 專技高考_藥師:調劑學與臨床藥學#10733
> 試題詳解
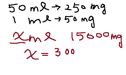
10.將15 g小兒抗生素粉劑,調製為每5 mL含 250 mg藥品,須加水至多少mL?
(A)100
(B)300
(C)10
(D)30
答案:
登入後查看
統計:
A(17), B(2208), C(6), D(186), E(0) #443475
詳解 (共 2 筆)
蘇莉琄
B1 · 2015/12/12
#1217000
18
4
Bruce
B2 · 2017/07/14
#2336368
15g/?ml=15000mg/?ml=...
(共 38 字,隱藏中)
前往觀看
6
0
相關試題
1.將40 mL之藥品溶液加到500 mL輸注液,欲持續給與6小時,已知每mL相當於20 drops,則此藥 品之輸注速率應為若干drops/min? (A)15 (B)20 (C)27 (D)30
#443466
2.有關decongestant之鼻腔溶液產品敘述,下列何者錯誤? (A)一般為等張溶液 (B)pH值介於5.5~6.5之間 (C)可長期使用 (D)可避免首渡效應
#443467
3.為製備品質佳的懸浮劑,較不須考慮下列何種因素? (A)控制顆粒大小 (B)添加潤滑劑(lubricants) (C)添加增稠劑(thickening agent) (D)添加濕潤劑(wetting agent)
#443468
4.下列何種藥品之吸入劑對病人而言是屬於long acting β2 agonist? (A)salmeterol (B)beclometasone (C)salbutamol (D)ipratropium
#443469
5.當利用limulus amoebocyte lysate test進行熱原試驗,如何判讀其結果為陽性反應? (A)溶液呈紅棕色 (B)產生混濁並有沉澱 (C)形成凝膠狀 (D)溶液轉變為透明
#443470
6.一般所稱“light-resistant containers”,是指可阻隔何種波長範圍的光線影響? (A)200~350 nm (B)250~400 nm (C)290~450 nm (D)320~490 nm
#443471
7.藥師於2011年7月31日由瓶裝藥品分裝28顆captopril錠劑給與張先生,錠劑原包裝之有效期限(expiration date)至2013年7月31日,依USP規定,應標示之最大使用期限(beyond-use date)至何時? (A)2011年10月31日 (B)2012年1月31日 (C)2012年7月31日 (D)2013年7月31日
#443472
8.有關眼用製劑常用防腐劑之使用濃度,下列何者錯誤? (A)chlorhexidine acetate 0.01% w/v (B)benzalkonium chloride 0.01% w/v (C)phenylmercuric nitrate 0.02% w/v (D)chlorobutanol 0.5% w/v
#443473
9.欲製備含有ZnO 2.5 g,calamine 2.5 g及almond oil 45 mL之乳劑90 mL,須加乳化劑acacia多少g? (A)11.25 (B)15.00 (C)22.50 (D)33.75
#443474
11.下列何者與Good Clinical Practice(GCP)較無關? (A)Declaration of Helsinki (B)Institutional Review Board(IRB) (C)informed consent (D)drug information service
#443476
相關試卷
115年 - 115-1 專技高考_藥師(二):藥學(四)(包括調劑學與臨床藥學)#137352
2026 年 · #137352
114年 - 114-2 專技高考_藥師(二):藥學(四)(包括調劑學與臨床藥學)#128950
2025 年 · #128950
114年 - 114-1 專技高考_藥師(二):藥學(四)(包括調劑學與臨床藥學)#125093
2025 年 · #125093
113年 - 113-2 專技高考_藥師(二):調劑學與臨床藥學#121667
2024 年 · #121667
113年 - 113-1 專技高考_藥師(二):調劑學與臨床藥學#118707
2024 年 · #118707
112年 - 112-2 專技高考_藥師(二):調劑學與臨床藥學#115864
2023 年 · #115864
112年 - 112-1 專技高考_藥師(二):調劑學與臨床藥學#113127
2023 年 · #113127
111年 - 111-2 專技高考_藥師(二):調劑學與臨床藥學#109898
2022 年 · #109898
111年 - 111-1 專技高考_藥師(二):調劑學與臨床藥學#106172
2022 年 · #106172
110年 - 110-2 專技高考_藥師(二):調劑學與臨床藥學#99930
2021 年 · #99930