10.某一加壓空間在某側牆面同時存在 3 個開口,面積大小分別為 0.2、0.2 與 0.4 平方公尺,試
問氣流等效流動面積為何?
(A) 0.08 平方公尺
(B) 0.4 平方公尺
(C) 0.8 平方公尺
(D)1.6 平方公尺
答案:登入後查看
統計: A(140), B(83), C(1427), D(89), E(0) #2902498
統計: A(140), B(83), C(1427), D(89), E(0) #2902498
詳解 (共 5 筆)
#5485545
詳見火災學-陳弘毅-十一版-【P201頁~P202頁-(三、等效流動面積)】
等效流動面積概念於煙控分析中非常有用,一個系統煙霧蔓延之路徑
可以相互並聯、串聯或是串並聯相結合,對於固定之流動系統,其等
效流動面積定義為「在相同壓差下造成同樣流動之單一開口面積」,
這與電阻並聯之等效電阻之概念類似。
本題為並聯如以下所示:

如圖4-16所示,於一加壓空間中存在三個面積分別為A1、A2、A3之
開口,這三個開口相互並聯時其等效流動面積為:

例如A1、A2面積均為0.1m2,A3為0.05m2,則其等效流動面積為
0.25m2。
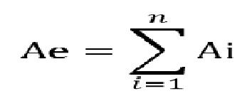
以上方程式可以被推廣運用至貝有任意個開口相互並聯之情況,
其系統之等效流動面積為各個開口面積之總和(以下式子中n為
並聯之開口數)。

依本題所述:某一加壓空間在某側牆面同時存在 3 個開口,面
積大小分別為 0.2、0.2 與 0.4 平方公尺,試 問氣流等效流動面
積為何? 答:
1.先判別此情況是否為並聯、串聯或串並聯相結合:此為並聯。
適用Ae=A1+A2+A3此式子。
2.假設A1=0.2m2、A2=0.2m2、A3=0.4m2
所以Ae=0.2+0.2+0.4=0.8m2
此題答案即為C
14
0
#5484806
同時存在3開口 氣體壓力都一樣
0.2+0.2+0.4=0.8
7
0
#5448575
等效流動面積(並聯)=A1+A2+A3
=0.2+0.2+0.4
=0.8平方公尺
6
0