阿摩線上測驗
登入
首頁
>
普考/四等◆經濟學(概要、概論)
>
113年 - 113 普通考試_金融保險、統計、經建行政、商業行政:經濟學概要#121412
> 試題詳解
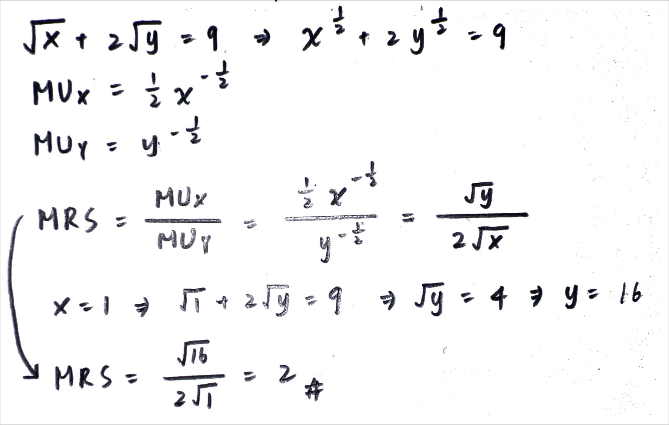
11 某甲對 x 財貨及對 y 財貨的無異曲線為
。當某甲消費 x=1 時,此時的邊際替代率為何?
(A) 1/2
(B)1
(C) 3/2
(D)2
答案:
登入後查看
統計:
A(48), B(17), C(11), D(82), E(0) #3274677
詳解 (共 2 筆)
113高考上榜
B1 · 2024/08/19
#6195100
(共 1 字,隱藏中)
前往觀看
14
0
Yu-Chen Wang
B2 · 2025/05/15
#6421252
12
0
私人筆記 (共 1 筆)
易懂解in私人筆記,請按讚!
2025/06/22
私人筆記#7154971
未解鎖
MRSxy=MUx/MU...
(共 89 字,隱藏中)
前往觀看
9
0
相關試題
1 機會成本會沿著生產可能曲線增加,是因為: (A)資源在經濟活動中的邊際生產力遞減 (B)有越來越多的需求被滿足 (C)為生產更多的某一種商品,必須減少另一商品生產的數量 (D)生產需要時間
#3274667
2 相對於乙國,甲國生產某商品具有比較利益,則下列何者正確? (A)甲國生產該商品的各種要素投入一定比較少 (B)乙國生產該產品的各種要素投入一定比較多 (C)甲國生產該產品的機會成本一定比較低 (D)乙國生產該產品的機會成本一定比較低
#3274668
3 若 A 國提高對 B 國產品進口關稅,則對該產品而言,下列何者正確? (A) A 國的消費者剩餘上升 (B) A 國的生產者剩餘上升 (C) A 國的社會福利上升 (D) B 國的社會福利上升
#3274669
4 某一市場僅有二家供應商甲和乙,廠商甲的供給函數是 q1=-3+2p,其中 q1 是數量、p 是價格,廠商乙的供給函數是 q2=-5+3p,其中 q2 是數量。當二家廠商均有正的供給量時,市場的供給函數 Q=q1+q2為何? (A)-2+p (B)-8+5p (C) 2-p (D) 8-5p
#3274670
5 有關耐久財的需求價格彈性,下列何者正確? (A)在短期較為敏感 (B)在長期較為敏感 (C)不隨時間長短期而有所改變 (D)較供給的價格彈性更為敏感
#3274671
6 某人對 x 財的需求為 px=a-bqx,其中 qx 是 x 財的數量、px 是 x 財的價格,且 a>0、b>0 為常數。若受到外部性因素影響而使需求線平行外移時,則在相同價格下,其需求彈性為何? (A)變大 (B)變小 (C)不變 (D)可變大也可變小
#3274672
7 假設麵包市場原本處於均衡狀態,若消費者的所得增加,同時麵粉的價格上漲,且麵包是劣等財。若其他 條件不變,則下列何者正確? (A)需求曲線將左移,供給曲線右移,新的均衡數量無法判斷 (B)供給曲線將左移,需求曲線右移,新的均衡數量無法判斷 (C)需求與供給曲線皆右移,新的均衡數量增加,而新的均衡價格無法判斷 (D)需求與供給曲線皆左移,新的均衡數量減少,而新的均衡價格無法判斷
#3274673
8 A 國房屋所有人賣房必須繳納房屋交易稅,如果 A 國政府調高交易稅稅率,則 A 國房市的: (A)買方消費者剩餘上升 (B)買方消費者剩餘不變 (C)房價上漲 (D)房價不變
#3274674
9 假設雞蛋市場的均衡價格為 1 斤 80 元,如果政府限制雞蛋價格不得超過 1 斤 60 元,則雞蛋: (A)需求量下降 (B)需求量等於供給量 (C)需求量不變 (D)供給量下降
#3274675
10 效用函數(utility functions)的斜率為: (A)邊際產量(marginal product) (B)邊際效用(marginal utility) (C)邊際替代率(marginal rate of substitution) (D)邊際技術替代率(marginal rate of technical substitution)
#3274676
相關試卷
115年 - 115 關務特種考試_四等_一般行政(選試英文)、一般行政(選試日文):經濟學概要#138963
2026 年 · #138963
115年 - 115 身心障礙特種考試_四等_經建行政:經濟學概要#138943
2026 年 · #138943
114年 - 114 地方政府公務、離島地區公務特種考試_四等_統計、經建行政:經濟學概要#134607
2025 年 · #134607
114年 - 114 原住民族特種考試_四等_經建行政:經濟學概要#130963
2025 年 · #130963
114年 - 114 普通考試_金融保險、統計、經建行政:經濟學概要#128594
2025 年 · #128594
114年 - 114 關務特種考試_四等_一般行政(選試英文)、一般行政(選試日文):經濟學概要#126677
2025 年 · #126677
114年 - 114 身心障礙特種考試_四等_經建行政:經濟學概要#126627
2025 年 · #126627
113年 - 113 地方政府公務、離島地區公務特種考試_四等_統計、經建行政、商業行政:經濟學概要#124326
2024 年 · #124326
113年 - 113 原住民族特種考試_四等_經建行政:經濟學概要#122653
2024 年 · #122653
113年 - 113 普通考試_金融保險、統計、經建行政、商業行政:經濟學概要#121412
2024 年 · #121412