11.依據愛因斯坦黏滯係數方程式,溶液的黏稠度除以溶劑的黏稠度,其比值稱為下列何者?
(A)relative viscosity
(B)reduced viscosity
(C)specific viscosity
(D)intrinsic viscosity
答案:登入後查看
統計: A(5533), B(251), C(684), D(1208), E(0) #2179895
統計: A(5533), B(251), C(684), D(1208), E(0) #2179895
詳解 (共 9 筆)
#4171592
回樓上 97年第6題答案是D喔
17
3
#3770548
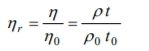
(A)relative viscosity :相對黏度
待測液體絕對黏度與標準液絕對黏度之比值
(B)reduced viscosity:比濃黏度

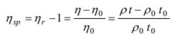
(C)specific viscosity:比黏度

(D)intrinsic viscosity:特性黏度
是一個用於描述溶質所帶來的溶液的黏度變化的物理量,常用
表示,其定義為
或
16
7
#4171877
回2F:97-2第六題的答案應該是 (D)Intrinsic viscosity
11
3
#4479525
回3,4F: 抱歉! 已經修正,之後都沒有回過來檢查,非常感謝!
5
6
#6159863
14 下列何種黏度常應用於表示聚合物分子量之特性?
(A)絕對黏度
(B)相對黏度
(C)本質黏度
(D)比黏度
(A)絕對黏度
(B)相對黏度
(C)本質黏度
(D)比黏度
3
0