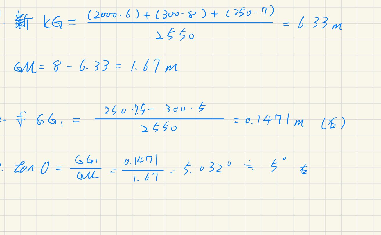
11. 某港內船舶平正地漂浮於海水中,排水量2000噸,KM=8公尺,KG=6公尺,若裝載下列
貨物後,求船舶最後橫傾角度?【裝載300噸,KG=8公尺,其重心在中心線左邊5公尺;裝載
250噸,KG=7公尺,其重心在中心線右邊7.5公尺。】
(A) 5°(向左橫傾)
(B) 5°(向右橫傾)
(C) 8°(向左橫傾)
(D) 8°(向右橫傾)
答案:登入後查看
統計: A(53), B(321), C(47), D(35), E(0) #3246776
統計: A(53), B(321), C(47), D(35), E(0) #3246776
