12 若某不動產之建物經濟耐用年數50 年、經歷年數20 年、殘價率10%,於收益法估價時,建物價格日期當時價值未來每年折舊提存率為何?
(A)0.018
(B)0.036
(C)0.05
(D)0.028
答案:登入後查看
統計: A(653), B(315), C(149), D(1304), E(0) #618120
統計: A(653), B(315), C(149), D(1304), E(0) #618120
詳解 (共 7 筆)
#906452
先求該建物應折舊之比率(1-殘價率) 1-10%=90%=0.9
計算每年應折舊之比率(總折價之比率/耐用年數) 0.9/50=0.018
計算已經累積的折舊值(每年應折舊之比率*經歷年數)
0.018*20=0.36
計算現在的殘餘價值(1-已經累積的折舊值) 1-0.36=0.64
計算建物價格日期當時價值未來每年折舊提存率(每年應折舊之比率/現在的殘餘價值) 0.018/0.64=0.028125
93
3
#920901
0.018÷0.64=0.028125
16
0
#6235012
12 若某不動產之建物經濟耐用年數50 年、經歷年數20 年、殘價率10%,於收益法估價時,建物價格日期當時價值未來每年折舊提存率為何?
(A) 0.018
(B) 0.036
(C) 0.05
(D) 0.028
ㅤㅤ
不動產估價技術規則 第 41 條

ㅤㅤ
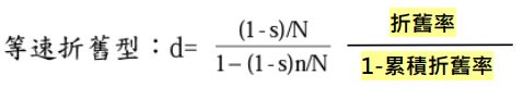
帶入等速折舊型公式:

ㅤㅤ
經濟耐用年數 N=50
經歷年數 n=20
殘價率 s=10%
建物價格日期當時價值未來每年折舊提存率 d=0.028125 (D)
8
0
#4222571
1-10%=90%
0.9/50=0.018
0.018*20年=0.36
1-0.36=0.64
0.018/0.64=0.028125
6
0