12 膠片之光密度(OD)為 1.0、1.3 及 2.3 時,其透光率分別為多少?
(A) 90%、87%、77%
(B) 10%、5%、1%
(C) 10%、13%、23%
(D) 10%、5%、0.5%
答案:登入後查看
統計: A(9), B(6), C(5), D(22), E(0) #2658007
統計: A(9), B(6), C(5), D(22), E(0) #2658007
詳解 (共 1 筆)
#6016351
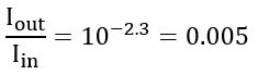
透光率的定義是
,其中I_out是透射過去的光強度、I_in 是入射的光強度。
光密度的定義是
ㅤㅤ
記憶法:
透光率看名字就知道這個的目的是為了看有多少光穿透過去,所以透過去的光強度要放在分子(重要的放在上面才看的到),入射的光強度放在分母
光密度要取log,log的l和i很像,所以入射的光強度(I_in)變得比較重要了,所以變成I_in要放在分子
ㅤㅤ
進入解題:
觀察(A)、(B)、(C)、(D)四個選項的內容,發現只有在問OD=2.3時,這四個選項都不一樣,所以只要算OD=2.3時的透光率就好
代入公式解


ㅤㅤ
2
0