阿摩線上測驗 登入

試題詳解

試卷:106年 - 106年第一次交通部航海人員測驗【301】一等船副【000005】船舶操作與船上人員管理#60911 | 科目:船舶操作與船上人員管理(概要)

試卷資訊

試卷名稱:106年 - 106年第一次交通部航海人員測驗【301】一等船副【000005】船舶操作與船上人員管理#60911

年份:106年

科目:船舶操作與船上人員管理(概要)

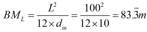
12. 當箱形駁油船長100 m,寬20 m,吃水10 m平浮於海水面上,已知其垂向重心高度(KG)為 15 m,試求該船的縱向定傾中心半徑值phpSYkrLA.png (m)為何?
(A)77.3
(B)79.3
(C)81.3
(D)83.3

正確答案:登入後查看

詳解 (共 1 筆)

推薦的詳解#2337655
未解鎖
BML=L^/12D =100*100/...
(共 34 字,隱藏中)
前往觀看
16
0

私人筆記 (共 1 筆)

私人筆記#1302910
未解鎖


(共 0 字,隱藏中)
前往觀看
7
0