試卷名稱:114年 - 114 新北市公立高級中等學校_教師聯合甄選試題:物理科#126870
年份:114年
科目:教甄◆物理科專業
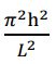
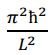
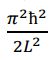
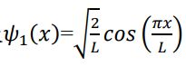
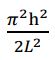
14.在寬度為L的一維無限深位阱內,粒子的基態波函數,則處於此無限深位阱基態粒子動量平方的期望值<p2>為何?(A)(B)(C) (D)