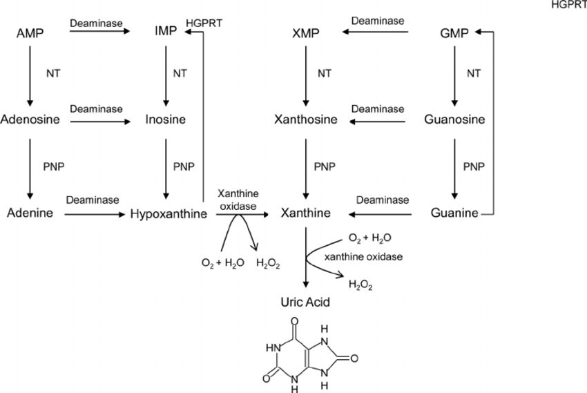
15.下列何種酵素參與人體內 uric acid 的生成?
(A)uricase
(B)urease
(C)xanthine oxidase
(D)urate oxidase
答案:登入後查看
統計: A(319), B(202), C(1190), D(75), E(0) #2973329
統計: A(319), B(202), C(1190), D(75), E(0) #2973329
