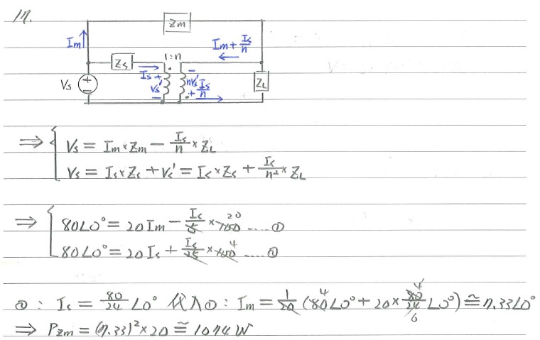
17. 如下圖所示之理想變壓器(ideal transformer)電路,已知電源相量電壓Vs = 80∠0° Vrms、電源阻抗Zs = 20 + j0 Ω、負載阻抗ZL = 100 + j0 Ω、中間阻抗Zm = 20 + j0 Ω、理想變壓器之匝數比n = 5。下列何者為中間阻抗Zm吸收平均功率 最接近之值?
(A)40 W
(B)30 W
(C)20 W
(D)10 W
答案:登入後查看
統計: A(2), B(1), C(2), D(2), E(0) #2677595
統計: A(2), B(1), C(2), D(2), E(0) #2677595
詳解 (共 1 筆)
#5202529
以下是小弟解題過程,但結果與答案有明顯出入,
懇請版上達人幫忙看一下,是哪個步驟有錯呢?

0
1