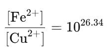
18. An excess of finely divided iron is stirred up with a solution that contains Cu²⁺ ion, and the system is allowed to come to equilibrium. The solid materials are then filtered off and electrodes of solid copper and solid iron are inserted into the remaining solution. What is the value of the ratio [Fe²⁺]/[Cu²⁺] at 25°C? The following standard reduction potentials apply:
(A)1
(B)1.3x1026
(C)2.5x1026
(D)4.4x10-27
(E)8.8x10-27
答案:登入後查看
統計: A(0), B(7), C(4), D(1), E(0) #2343739
統計: A(0), B(7), C(4), D(1), E(0) #2343739
詳解 (共 1 筆)
#6366796





0
0