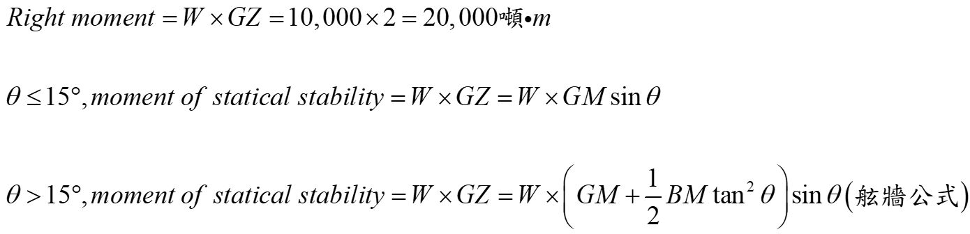
19. 某港內船舶排水量為10,000噸,橫傾30度,GZ為2公尺,KM為7公尺,求船舶的扶正力矩
?
(A) 10,000噸.公尺
(B)20,000噸.公尺
(C) 30,000噸.公尺
(D) 50,000噸.公尺
答案:登入後查看
統計: A(90), B(490), C(86), D(24), E(0) #3076946
統計: A(90), B(490), C(86), D(24), E(0) #3076946
詳解 (共 4 筆)
#6042232

9
0
#7301910

1
0