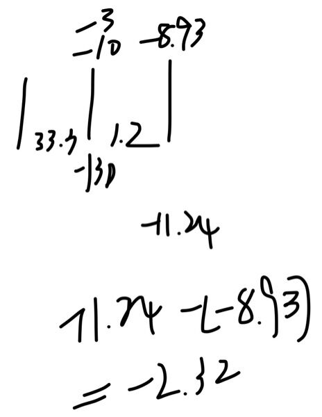
2 一個近視眼者,在眼前 12 mm 處戴上-10.00 D 的鏡片恰能矯正視力,配戴該眼鏡時看眼前 33.3 cm 處的近物時,眼睛所需調節力大小約為多少?
(A)3.86 D
(B) 2.40 D
(C) 5.12 D
(D) 3.33 D
答案:登入後查看
統計: A(24), B(94), C(72), D(60), E(0) #1642348
統計: A(24), B(94), C(72), D(60), E(0) #1642348
詳解 (共 5 筆)
#4920273
1/[(1-2*0.012*-10)*.333]=2.42
6
0
#5638053
上面錯的居然也可以算對 真強
0
0
#6570743

0
0