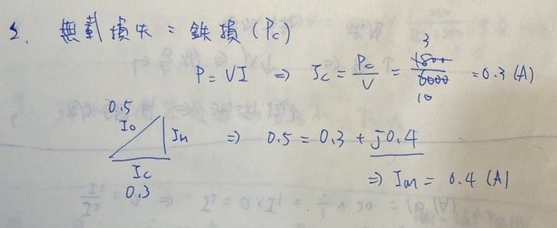
2.一電壓比為6000V/600V之理想變壓器,高壓側激磁電流為0.5A,無載損失為1800W,則其磁化電流為多少安培( A )?
(A)0.3
(B)0.4
(C)0.5
(D)0.6
答案:登入後查看
統計: A(67), B(223), C(26), D(23), E(0) #2333845
統計: A(67), B(223), C(26), D(23), E(0) #2333845
