2.假設有 100 種不同的財貨,相對於以物易物的交易方式,如果大家同意以其中一種財貨作為貨幣,則對於經濟
社會中的交換比率,下列敘述何者正確?
(A)以物易物交易方式的交換比率會多於以其中一種財貨作為貨幣的交易方式之交換比率
(B)以物易物交易方式的交換比率會少於以其中一種財貨作為貨幣的交易方式之交換比率
(C)以其中一種財貨作為貨幣的交易方式,則經濟社會中會有 100 種交換比率
(D)以物易物的交易方式,則經濟社會中會有 100 種交換比率
答案:登入後查看
統計: A(747), B(239), C(76), D(21), E(0) #1520595
統計: A(747), B(239), C(76), D(21), E(0) #1520595
詳解 (共 4 筆)
#6435852
這題考的是貨幣功能中「作為交換媒介」的角色,特別是貨幣對於減少交換比率數量(即交易成本)的貢獻。
【基本概念】
-
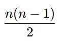
如果經濟體系中有 n 種財貨,採用以物易物(barter)**制度,則為了滿足所有可能的交易組合,需要的交換比率為:

ㅤㅤ
-
但若選擇其中一種財貨作為貨幣(媒介物),則每種財貨只需要與貨幣之間有一個比率,即只需要 n−1 個交換比率。
【代入題目】
-
n = 100 種財貨
【選項分析】
(A) ✔️ 正確
以物易物的交換比率會多於以一種財貨作為貨幣的方式(4,950 > 99)
(B) ❌ 錯誤,與(A)相反
(C) ❌ 錯誤,選一種貨幣只需 100−1=99100 - 1 = 99 個交換比率,不是 100 種
(D) ❌ 錯誤,以物易物有 4,950 種交換比率,不是 100 種
✅ 正確答案:(A) 以物易物交易方式的交換比率會多於以其中一種財貨作為貨幣的交易方式之交換比率
0
0