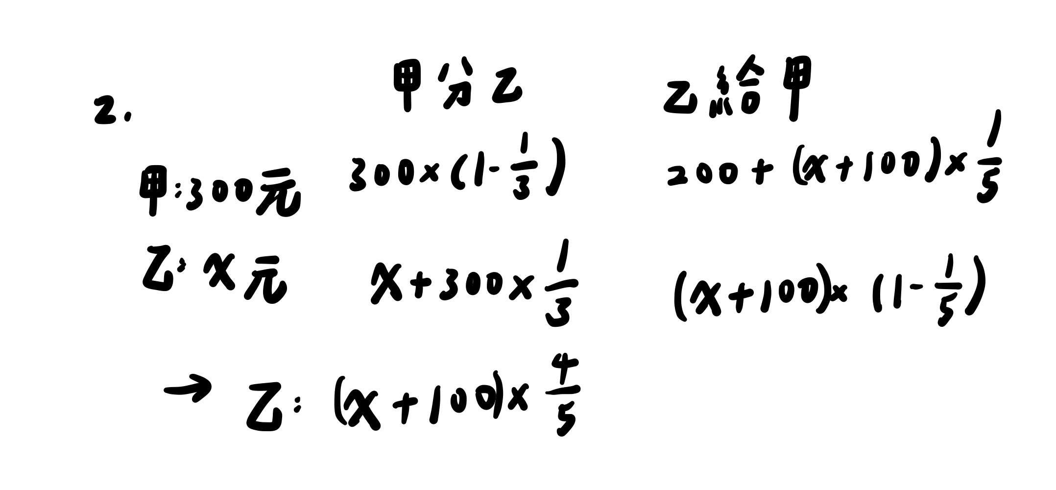
2.已知甲原有 300 元、乙原有 x 元,若甲將自己錢的
分給乙,乙拿到錢後再將他全部錢的
分給甲。問乙現在有多少錢?
(A)
(B)
(C)
(D)
答案:登入後查看
統計: A(20), B(55), C(197), D(1537), E(0) #3120139
統計: A(20), B(55), C(197), D(1537), E(0) #3120139
詳解 (共 8 筆)
#5875173

113年自編教檢歷屆試題:
https://jaojianpreviousexam.webnode.tw/
15
0
#5894917
3
0