阿摩線上測驗
登入
首頁
>
統測◆05化工群◆化工原理(基礎化工、化工裝置)
>
111年 - 111 四技二專統測_化工群:專業科目(一)基礎化工、化工裝置#107816
> 試題詳解
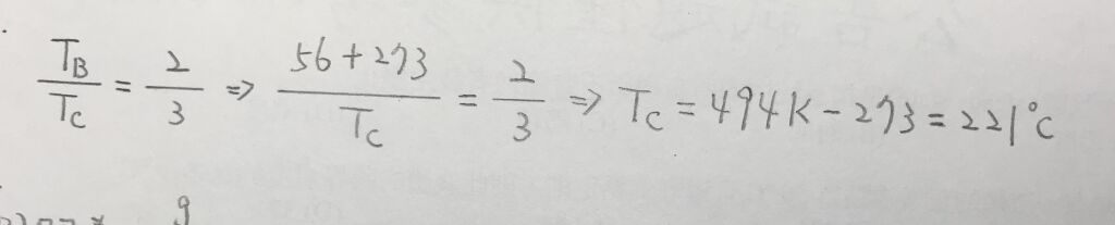
2. 已知有一液體的正常沸點為56 C° 且遵守沸點定則,則此液體的臨界溫度約為多少 °C ?
(A) 494
(B) 221
(C) 84
(D) 37
答案:
登入後查看
統計:
A(9), B(42), C(23), D(17), E(0) #2918161
詳解 (共 3 筆)
小星 化學工程與材料工程
B2 · 2023/03/17
#5751241
關於沸點定則,雖沒學過也沒印象,但參考過...
(共 155 字,隱藏中)
前往觀看
5
1
飄泊的人
B3 · 2025/10/28
#6981586
此題目在考沸點定則的公式 背起來就有分...
(共 172 字,隱藏中)
前往觀看
3
0
許益綸
B1 · 2022/12/21
#5683957
1
0
相關試題
1. 恆穩狀態(steady state )是指系統內的所有變數不會隨何者發生變化? (A) 溫度 (B) 時間 (C) 體積 (D) 濃度
#2918160
3. 下列關於液體黏度的敘述,何者正確? (A) 理論上,液體的黏度會隨溫度降低而升高 (B) 一般黏度的單位採用泊( poise ),即為2cm /s (C) 液體分子間的吸引力越強,則黏度越低 (D) 液體的黏度只受到溫度因素所影響
#2918162
4. 阿瑞尼斯研究稀薄酸、鹼水溶液的導電性,並提出「游離說」,關於電解質的敘述, 下列何者錯誤? (A) 電解質在水溶液中以離子狀態存在 (B) 電解質水溶液中,陽離子的總帶電量等於陰離子的總帶電量 (C) 電解質水溶液中,陽離子的數目必等於陰離子的數目 (D) 電解質水溶液可導電
#2918163
5. 下列何者不影響電解質溶液的電導度? (A) 溶液中的離子數 (B) 溶液的蒸氣壓 (C) 溶液的溫度 (D) 溶液中離子的移動速度
#2918164
6. 工業測量儀器的構造,包含下列哪些元件? ①感測元件(sensing element) ②回應元件(response element) ③指示元件(indicating element) ④控制元件( control element) (A) ①③④ (B) ①②④ (C) ②③④ (D) ①②③
#2918165
7. 席貝克效應可應用於下列何種溫度測量儀器? (A) 熱電偶溫度計 (B) 雙金屬溫度計 (C) 電阻溫度計 (D) 壓力溫度計
#2918166
8. 台電公司的發電廠產生電力後,經輸電線路將電力供應至用戶端,不包含下列何種供電 方式? (A) 單相三線式 (B) 三相三線式 (C) 單相四線式 (D) 三相四線式
#2918167
9. 由質量百分率為80%的甲烷(CH4)與20%的非可燃燒氣體所組成的混合氣體燃料,若 有 2.0公斤的混合氣體燃料在燃燒室中完全燃燒,則理論空氣量約為多少莫耳? (原子量: H 1= 、C 12 = 、O 16 =) (A) 1190 (B) 952 (C) 595 (D) 200
#2918168
10. 米勒指數 ( Miller indices ) 是描述晶體中晶面與三個晶軸 ( a、b、c ) 的關係,有一晶面與三晶軸的交點分別為,則此晶面的米勒指數為何? (A) (4 2 3 ) (B) ( 3 6 4 ) (C) (6 3 4 ) (D) ( 3 2 4 )
#2918169
11. 關於界面化學之敘述,下列何者正確? (A) 表面能趨勢呈現汞>水>乙醇 (B) 兩液體的相互溶解性愈好,其界面張力愈大 (C) 界面活性劑之親水基為非極性原子團,親油基為極性原子團 (D) 具正界面活性的物質加入水中,水溶液之表面張力會隨溶質濃度增加而緩慢增加
#2918170
相關試卷
114年 - 114 身心障礙學生升學大專校院甄試試題_四技二專組(化工群):基礎化工、化工裝置#137228
2025 年 · #137228
114年 - 114 四技二專統測_化工群_專業科目(一):基礎化工、化工裝置#134062
2025 年 · #134062
113年 - 113 四技二專統測_化工群_專業科目(一):基礎化工、化工裝置#125703
2024 年 · #125703
113年 - 113 身心障礙學生升學大專校院甄試試題_四技二專組_化工群_專業科目(一):基礎化工、化工裝置#125680
2024 年 · #125680
112年 - 112 四技二專統測_化工群_專業科目(一):基礎化工、化工裝置#116834
2023 年 · #116834
111年 - 111 身心障礙學生升學大專校院甄試試題_四技二專組_化工群_專業科目(一):基礎化工、化工裝置#118887
2022 年 · #118887
111年 - 111 四技二專統測_化工群:專業科目(一)基礎化工、化工裝置#107816
2022 年 · #107816
110年 - 110 四技二專統測_化工群_專業科目(二):化工原理(基礎化工、化工裝置)#98531
2021 年 · #98531
109年 - 109 四技二專統測_化工群_專業科目(二):化工原理(基礎化工、化工裝置)#85137
2020 年 · #85137
108年 - 108 四技二專統測_化工群_專業科目(二):化工原理(基礎化工、化工裝置)#79928
2019 年 · #79928