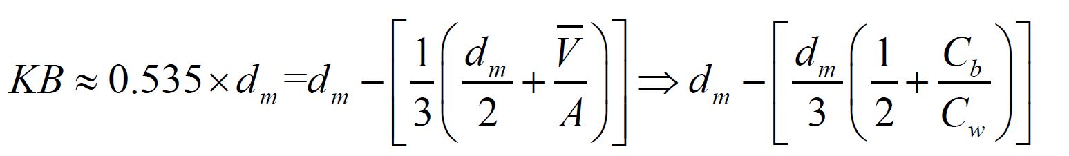
2. 若依據如下摩利斯近似式求浮心位置,式中的X值為何?【式中:Ⅴ=排水容積;d=平均吃 水】喫水線至浮心距離(OB)=(0.5 d+Ⅴ/X)/3
(A) 船長
(B) 水線面積
(C) 船寬
(D) 模深
答案:登入後查看
統計: A(49), B(514), C(79), D(41), E(0) #2197342
統計: A(49), B(514), C(79), D(41), E(0) #2197342
詳解 (共 1 筆)
#7303752

0
0