阿摩線上測驗
登入
首頁
>
台電◆電工機械
>
107年 - 107-05 台灣電力公司_新進僱用人員甄試:電工機械#73755
> 試題詳解
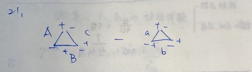
21如右圖所示,三只單相變壓器接成三相供電,是下列何種接法?
(A) Y-Y
(B) Δ-Δ
(C) Y-Δ
(D) Δ-Y
答案:
登入後查看
統計:
A(47), B(489), C(36), D(20), E(0) #1917501
詳解 (共 2 筆)
拚台電
B1 · 2019/03/01
#3221141
+接-,+接-,+接- 的是 delta...
(共 31 字,隱藏中)
前往觀看
13
0
Elvis Lee
B2 · 2021/10/29
#5182485
0
0
相關試題
1有一台 4 極直流發電機,電樞導體有 1000 根,單重波繞,磁通有 5 x 10-3韋伯,當轉速為 1200rpm 時,其感應電動勢為多少伏特?( ) (A) 180(B) 200(C) 220(D) 240 .
#1917481
2直流發電機中,轉速增加為 2.5 倍,磁通密度減少為 0.8 倍,則發電機的感應電動勢 變為原本的多少倍? (A)5 倍(B) 2.5 倍(C)2 倍(D) 0.32 倍
#1917482
3有關直流機之敘述,下列何者有誤? (A)電樞鐵心採用斜口槽是為避免運轉時,因磁阻變化產生的電磁噪音 (B)設置中間極是為改良換向問題 (C)裝置補償繞組是為抵消電樞反應磁動勢 (D)補償繞組須與電樞繞組並聯連接
#1917483
4直流機電樞繞組為單重繞組,繞組型式有疊繞與波繞,下列何者有誤? (A)波繞須有均壓線連接(B)疊繞較適於低電壓、大電流 (C)波繞之電流路徑數為 2(D)疊繞之電流路徑數等於極數
#1917484
5直流發電機消除電樞反應最有效之方法,下列何者正確? (A)補極(B)均壓線(C)補償繞組(D)移動電刷位置
#1917485
6單重疊繞之 4 極直流發電機,其電樞上共有 400 根導體,若每根導體之平均電動勢 為 2 伏特、所載電流為 20 安培,則該發電機之額定電壓及電流分別為多少? (A) 200V , 40A(B) 200V,80A(C) 400V,40A(D) 150V , 80A
#1917486
7直流發電機之飽和曲線為下列哪兩者之關係曲線? (A)感應電動勢與磁場電流(B)負載電流與磁場電流 (C)感應電動勢與負載電流(D)輸出與負載電流
#1917487
8下列哪一個電機轉子結構上有三個滑環? (A)三相鼠籠式馬達(B)三相同步發電機 (C)三相繞線式感應馬達(D)直流發電機
#1917488
9滿載電壓為 250V 之分激式直流發電機,電壓調整率為 8% ,則無載電壓為多少? (A)20V(B)31.25V(C)230V(D)270V
#1917489
10 具有 6 極雙重疊繞與雙重波繞線圈之並聯路徑數分別為多少? (A)3, 1(B)6, 2(C) 12 , 4(D) 18,6
#1917490
相關試卷
114年 - 114 台灣電力公司_新進僱用人員甄試試題:電工機械#127081
2025 年 · #127081
113年 - 113 台灣電力公司_新進僱用人員甄試試題:電工機械#119793
2024 年 · #119793
112年 - 112 台灣電力公司_新進僱用人員甄試試題:電工機械#114231
2023 年 · #114231
111年 - 111 台灣電力公司_新進僱用人員甄試:專業科目 A(電工機械)#107781
2022 年 · #107781
110年 - 110 台灣電力公司_新進僱用人員甄試試題:專業科目 A(電工機械)#98809
2021 年 · #98809
109年 - 109 台灣電力公司_新進僱用人員甄試:電工機械#86436
2020 年 · #86436
108年 - 108 台灣電力公司_新進僱用人員甄試:電工機械#78748
2019 年 · #78748
107年 - 107-12 台灣電力公司_新進僱用人員甄試:電工機械#73757
2018 年 · #73757
107年 - 107-05 台灣電力公司_新進僱用人員甄試:電工機械#73755
2018 年 · #73755
106年 - 106 台灣電力公司_新進僱用人員甄試:電工機械#63886
2017 年 · #63886