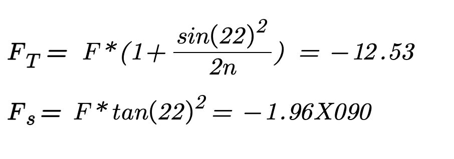
21 近年來,腳踏車運動盛行,盧小姐購買一副騎車用太陽眼鏡,希望騎車時可以配戴,經驗光師量測後發現: 該鏡框之鏡框彎弧 22 度,盧小姐屈光度數為 -12.00 DS。若選用折射率 1.6 之鏡片,則配戴時,感受到的 屈光力為何?(sin22° = 0.3746, tan22° = 0.4040, cos22° = 0.9272)
(A)-12.53DS/-1.96DC×180
(B)-14.49DS/-1.96DC×090
(C)-12.53DS/+1.96DC×090
(D)-14.49DS/+1.96DC×180

答案:登入後查看
統計: A(67), B(39), C(49), D(92), E(0) #2526280

詳解 (共 4 筆)

#5024555
S'=S(1+Sin^2 22/2n) ...

(共 89 字,隱藏中)
前往觀看
6
0
#5550960

框面彎弧產生 X090的徑向散光
62cb97576cb94.jpg
-12.53DS/-1.96DCX90
轉正散形式  -14.49DS/+1.96DCX180

5
0
#4923505
 -12.00 DS[*1+(.3746...
(共 104 字,隱藏中)
前往觀看
4
0
#4959473

SE=(1+SIN平/2N)*F
DC=F*TAN平

4
0